풀이
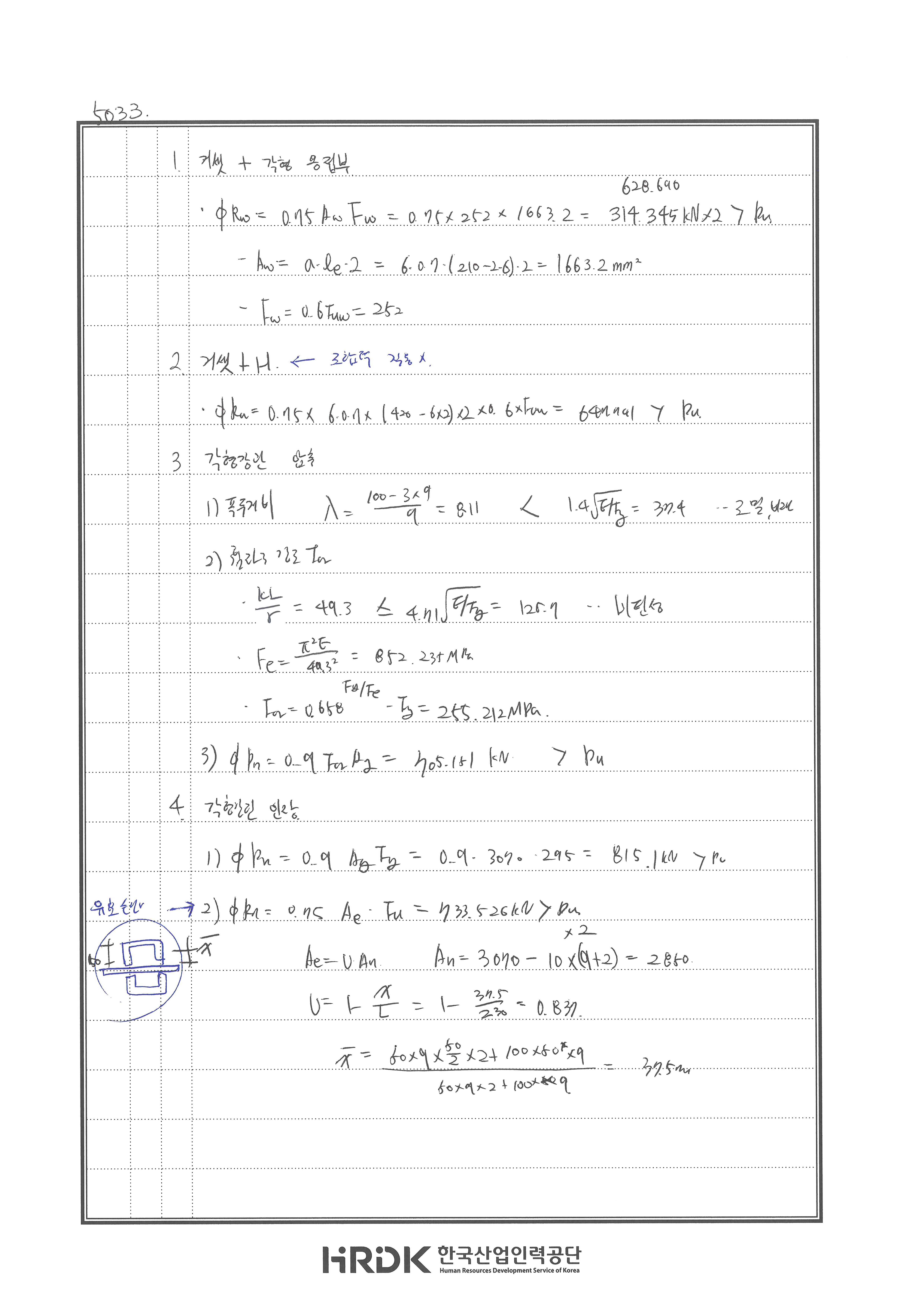
각형강관의 압축강도 검토 각형강관 + 가재 접합 인장강도 검토 각형강관 + 가재 접합 필릿용접부 검토 가새 + H형강 필릿용접부 검토 → 볼트로 1바꿔서 나올 수도
240719
- 각형강관의 인장강도 산정 시 L 실수 용접길이 210
- X 산정 시 틀림 공제부분 넓이 실수
240707 X
-첨부파일-🗑️/Untitled_20240707_220957_37.jpg)
-첨부파일-🗑️/2024.-5.-26.---78.jpg)
-첨부파일-🗑️/2024.-5.-26.---79.jpg)
-첨부파일-🗑️/2024.-5.-26.---80.jpg)
Oct 14, 20241 min read
각형강관의 압축강도 검토 각형강관 + 가재 접합 인장강도 검토 각형강관 + 가재 접합 필릿용접부 검토 가새 + H형강 필릿용접부 검토 → 볼트로 1바꿔서 나올 수도
240719
240707 X
-첨부파일-🗑️/Untitled_20240707_220957_37.jpg)
-첨부파일-🗑️/2024.-5.-26.---78.jpg)
-첨부파일-🗑️/2024.-5.-26.---79.jpg)
-첨부파일-🗑️/2024.-5.-26.---80.jpg)