풀이
- B1 산정 시 : 강축과 약축에 대해서 모두 산정
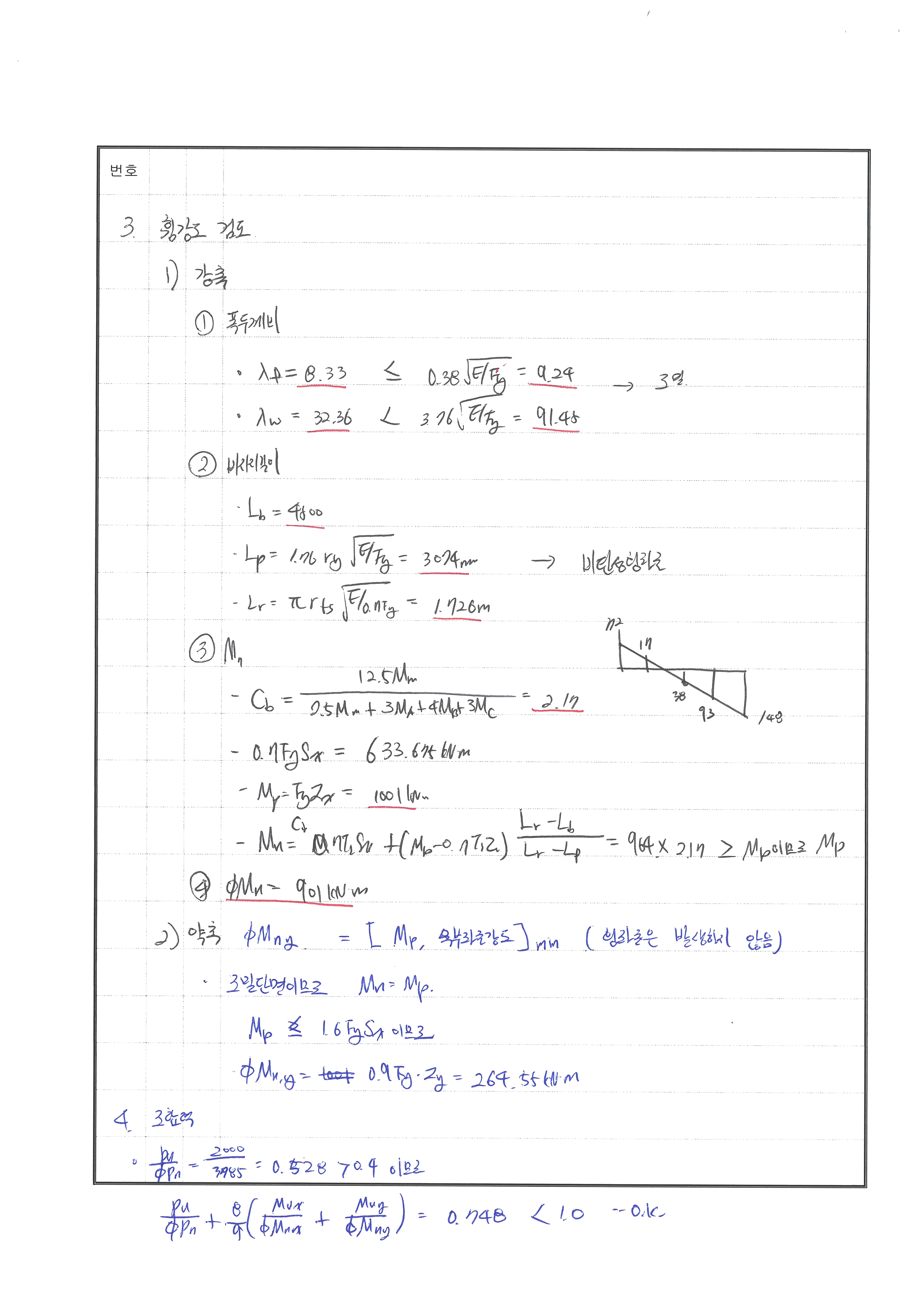
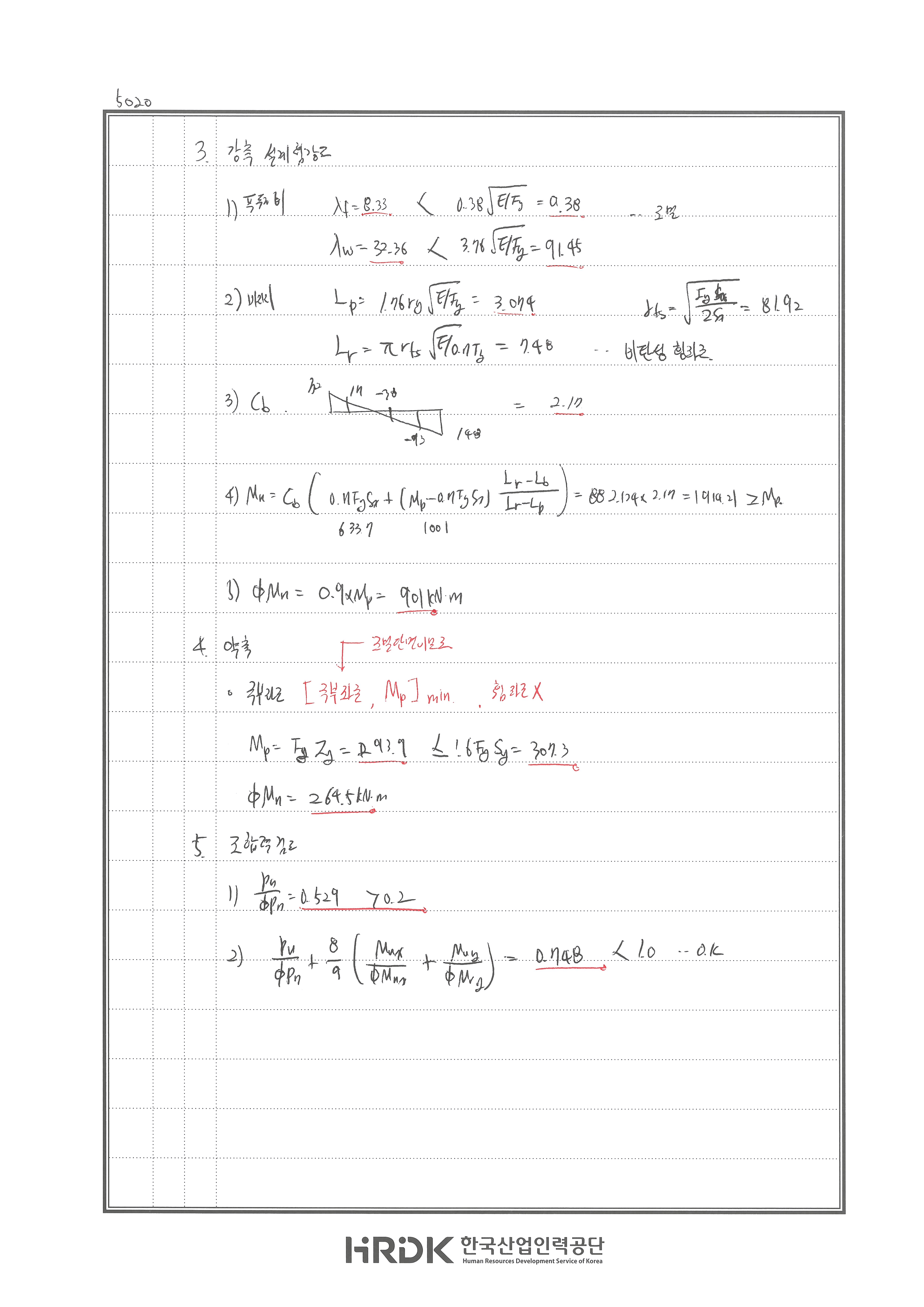
- 약축휨 : 국부좌굴과 Mp / 휨좌굴 발생하지 않음
수정해야할 부분 Mnt 철골 Cm값 0.4 제한 없음 ← 이거 어디서 봤지? 약축은 휨좌굴 발생 안함, 국부좌굴도 조밀이면 발생 안함
240704 O 240611 X
-첨부파일-🗑️/Untitled_20240611_192342_28.jpg)
-첨부파일-🗑️/Untitled_20240611_192342_29.jpg)
-첨부파일-🗑️/2024.-5.-26.---38.jpg)
-첨부파일-🗑️/2024.-5.-26.---39.jpg)
-첨부파일-🗑️/2024.-5.-26.---40.jpg)
-첨부파일-🗑️/2024.-5.-26.---41.jpg)
-첨부파일-🗑️/2024.-5.-26.---42.jpg)
Oct 14, 20241 min read
수정해야할 부분 Mnt 철골 Cm값 0.4 제한 없음 ← 이거 어디서 봤지? 약축은 휨좌굴 발생 안함, 국부좌굴도 조밀이면 발생 안함
240704 O 240611 X
-첨부파일-🗑️/Untitled_20240611_192342_28.jpg)
-첨부파일-🗑️/Untitled_20240611_192342_29.jpg)
-첨부파일-🗑️/2024.-5.-26.---38.jpg)
-첨부파일-🗑️/2024.-5.-26.---39.jpg)
-첨부파일-🗑️/2024.-5.-26.---40.jpg)
-첨부파일-🗑️/2024.-5.-26.---41.jpg)
-첨부파일-🗑️/2024.-5.-26.---42.jpg)