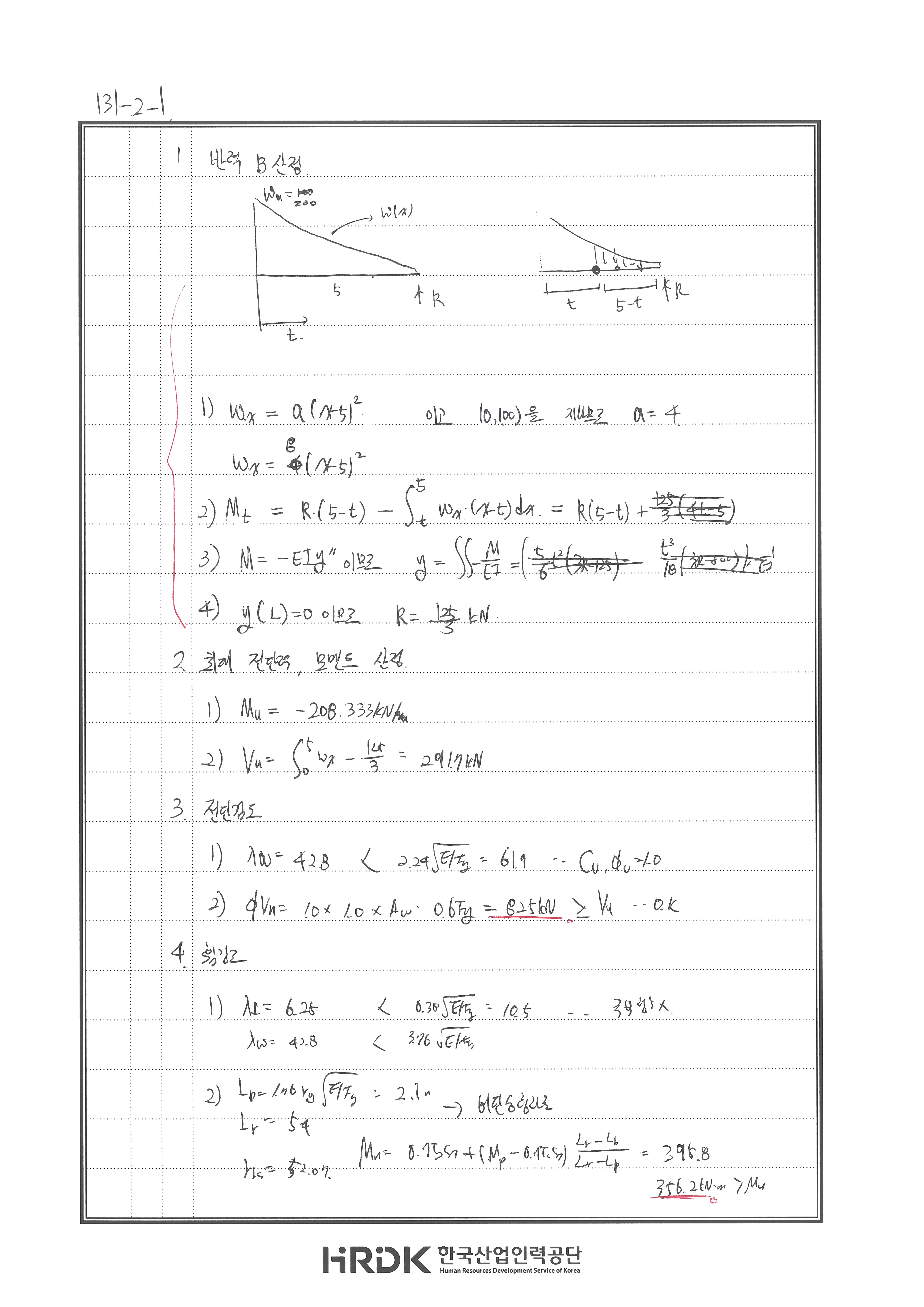
풀이
240721 △ 풀었는데 너무 생각안해서 마지막에 틀림.. 이렇게 풀거면 안푸는게 .. 240715 X 240516 X 어렵다 그래도 더 맞는 방법을 찾음 240502 X 오래걸림 포물선 모멘트 구하는 함정


Oct 14, 20241 min read
240721 △ 풀었는데 너무 생각안해서 마지막에 틀림.. 이렇게 풀거면 안푸는게 .. 240715 X 240516 X 어렵다 그래도 더 맞는 방법을 찾음 240502 X 오래걸림 포물선 모멘트 구하는 함정

