풀이

240720 O 240714 X

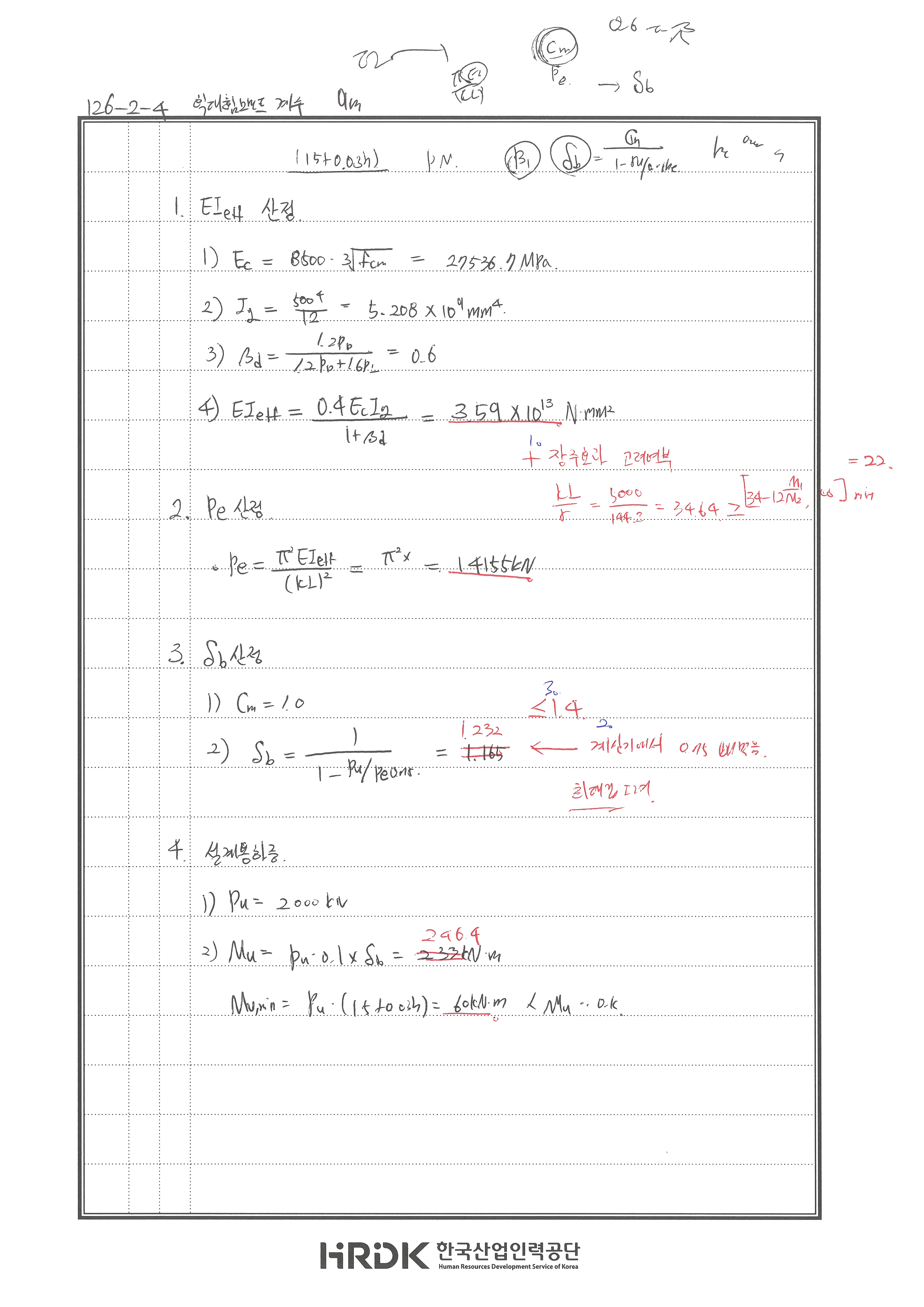
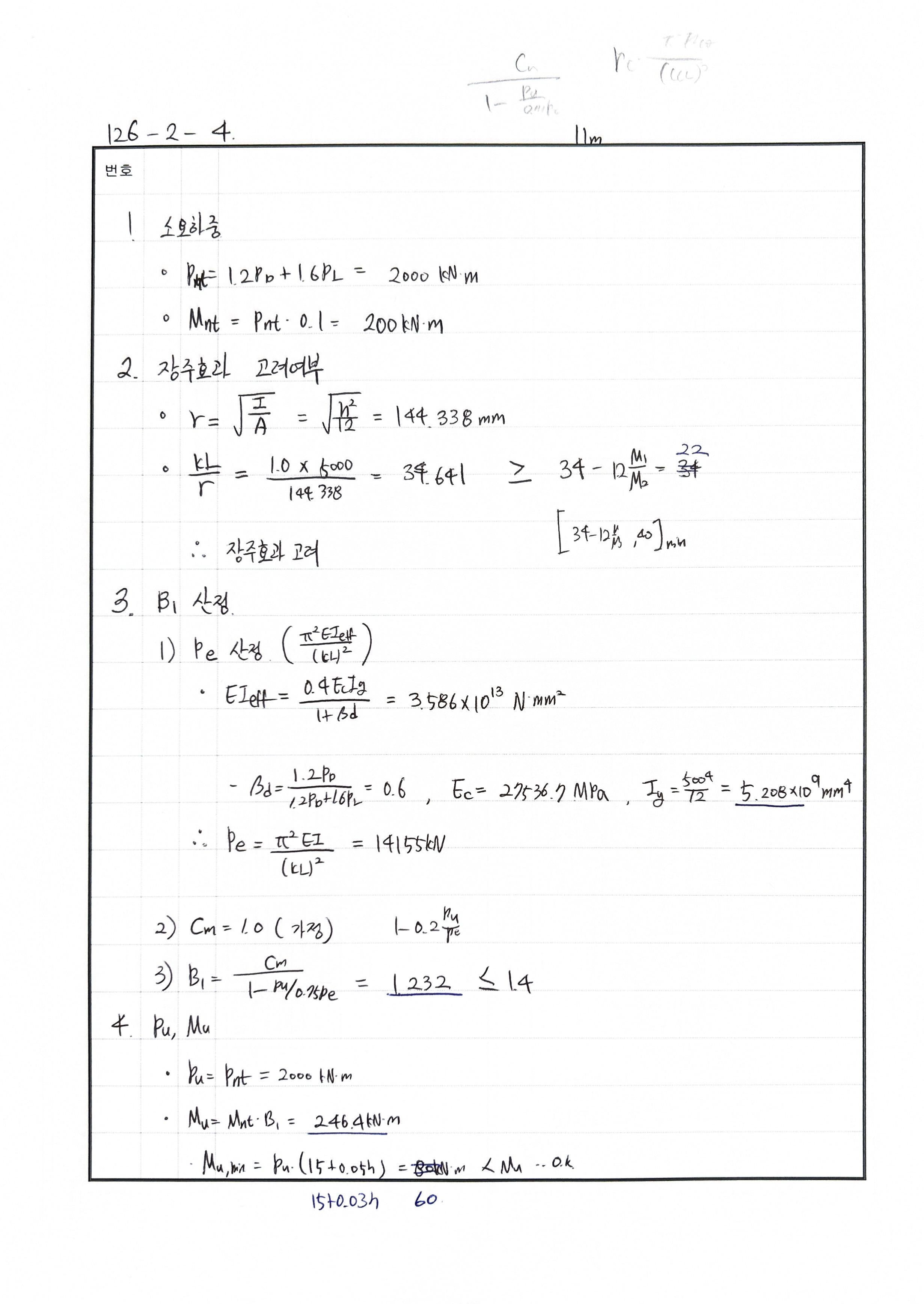
  1. 장주효과 고려여부 누락
  2. 모멘트확대계수 산정시 0.75 누락
  3. 모멘트확대계수 최대값 비교 누락

240510 X 장주효과에서 모멘트 실수, 최소모멘트 실수 240310