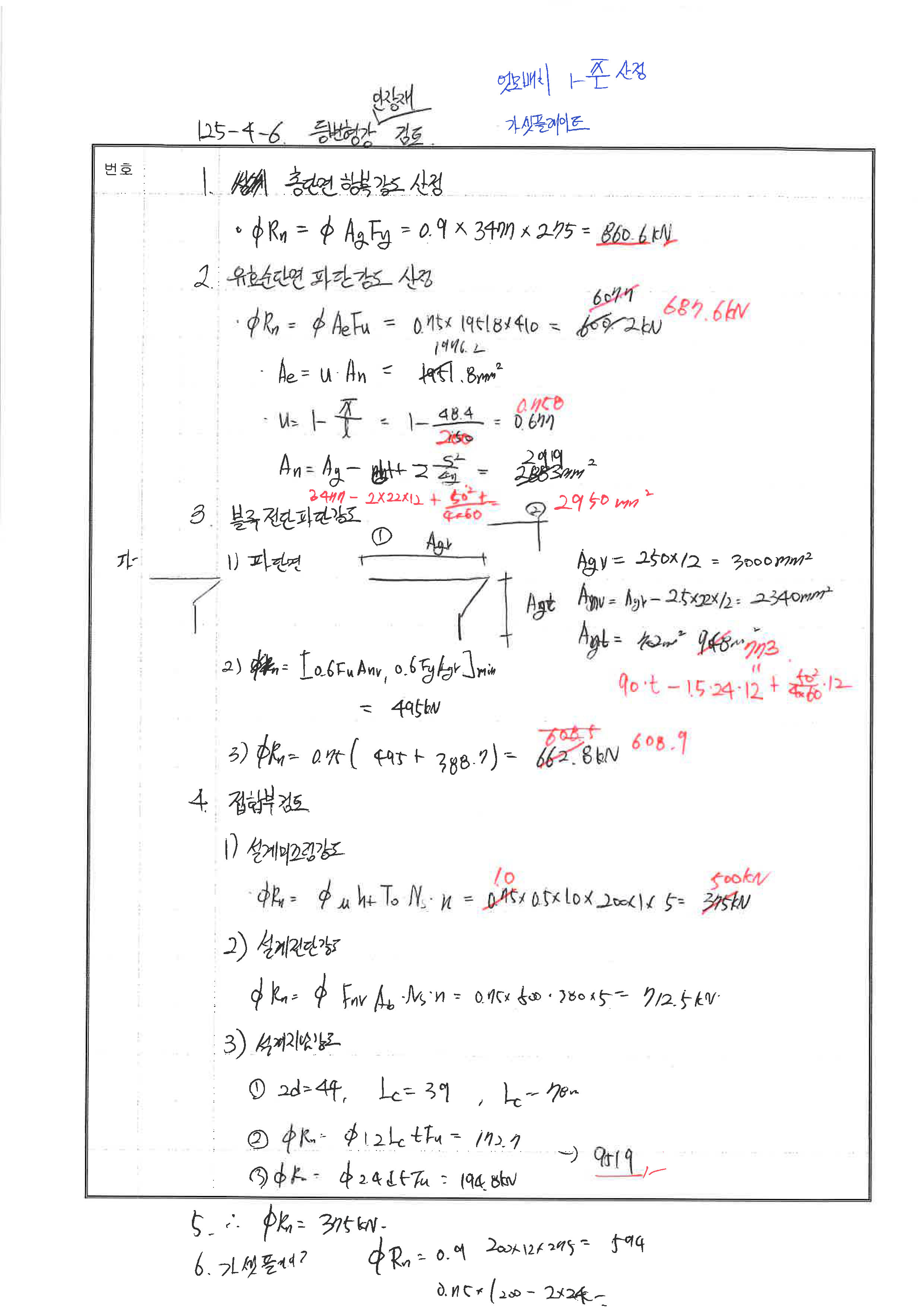
풀이

검토목록

  1. 총단면 인장항복
  2. 유효순단면 인장파단
  3. 설계볼트강도
    1. 설계미끄럼강도
    2. 설계지압강도
    3. 설계전단강도
  4. 블록전단파단
  5. 거셋플레이트 인장항복
  6. 거셋플레이트 인장파단

240715 X

  1. x 산정 시 실수
  2. 블록전단파단 산정 시 작은값이 지배하는데 큰값으로 계산 240530 △ 실수

240302