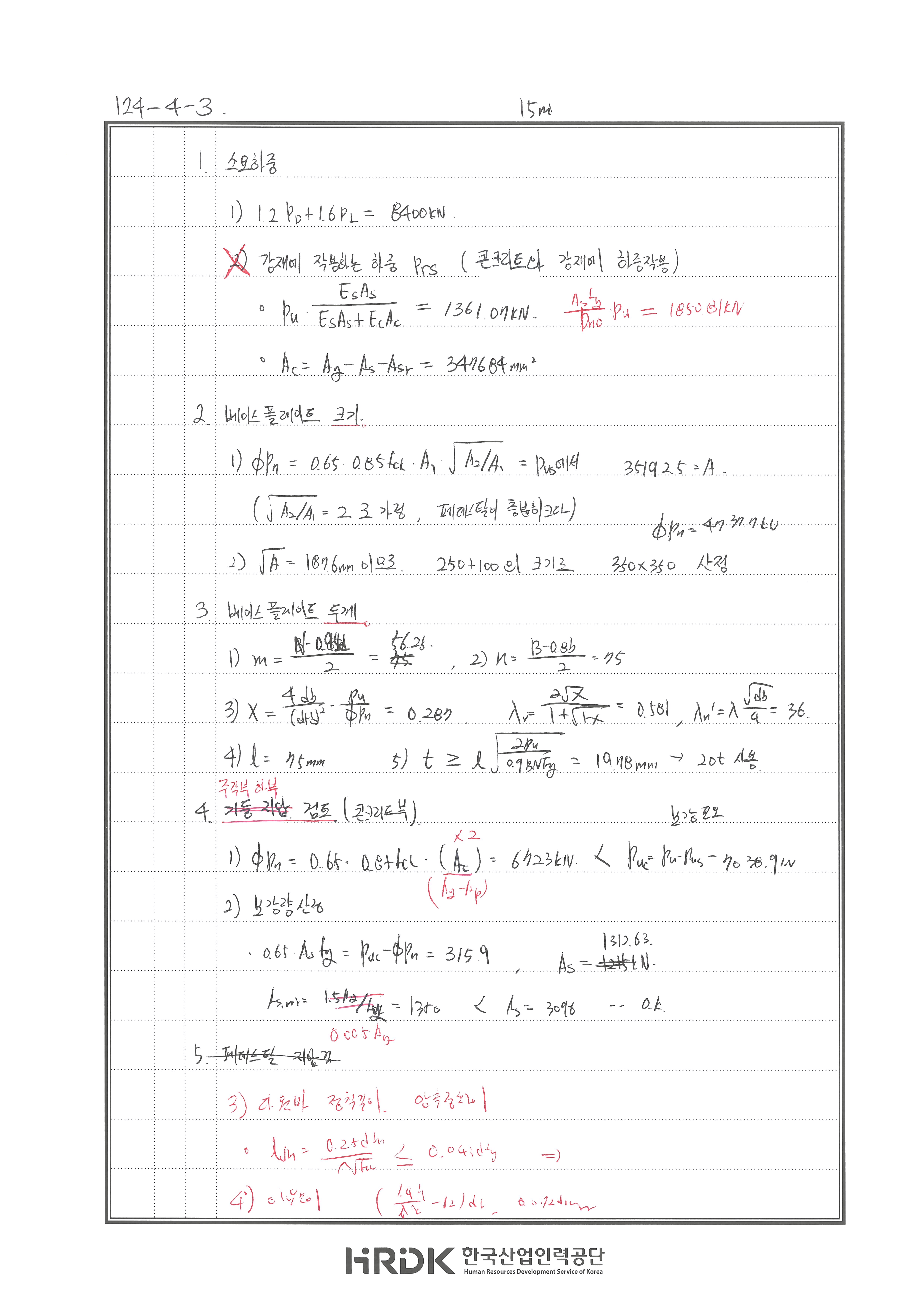
풀이
다월바 검토 + 구조제한 검토
240715 X
- 철골에 가해지는 하중 Pno 이용하게 계산
- 주각부 하부 콘크리트 지압검토 (지압강도 산정 시 × 2, Ag-Ap)
- 주각부 하부 최소철근비 0.005Ag (연결되면 0.005인가?)
- 다월바 정착길이 (압축정착 , 압축이음) 240613 X 철골에 가해지는 하중부터 틀림 240515 X 람다 1보다 크면안되는건데 반대로 품 240507 X 14m Pus 산정 틀림 , 베이스플레이트 공식 외우기 240428 18m X
-첨부파일-🗑️/Untitled_20240718_125737_25.jpg)
-첨부파일-🗑️/2024.-6.-17.---17.jpg)
-첨부파일-🗑️/2024.-5.-8.---13.jpg)
-첨부파일-🗑️/E0C870A6-204B-449F-9580-C77611CFFE2F.jpeg)
-첨부파일-🗑️/Untitled_20240326_231416_12.jpg)