풀이

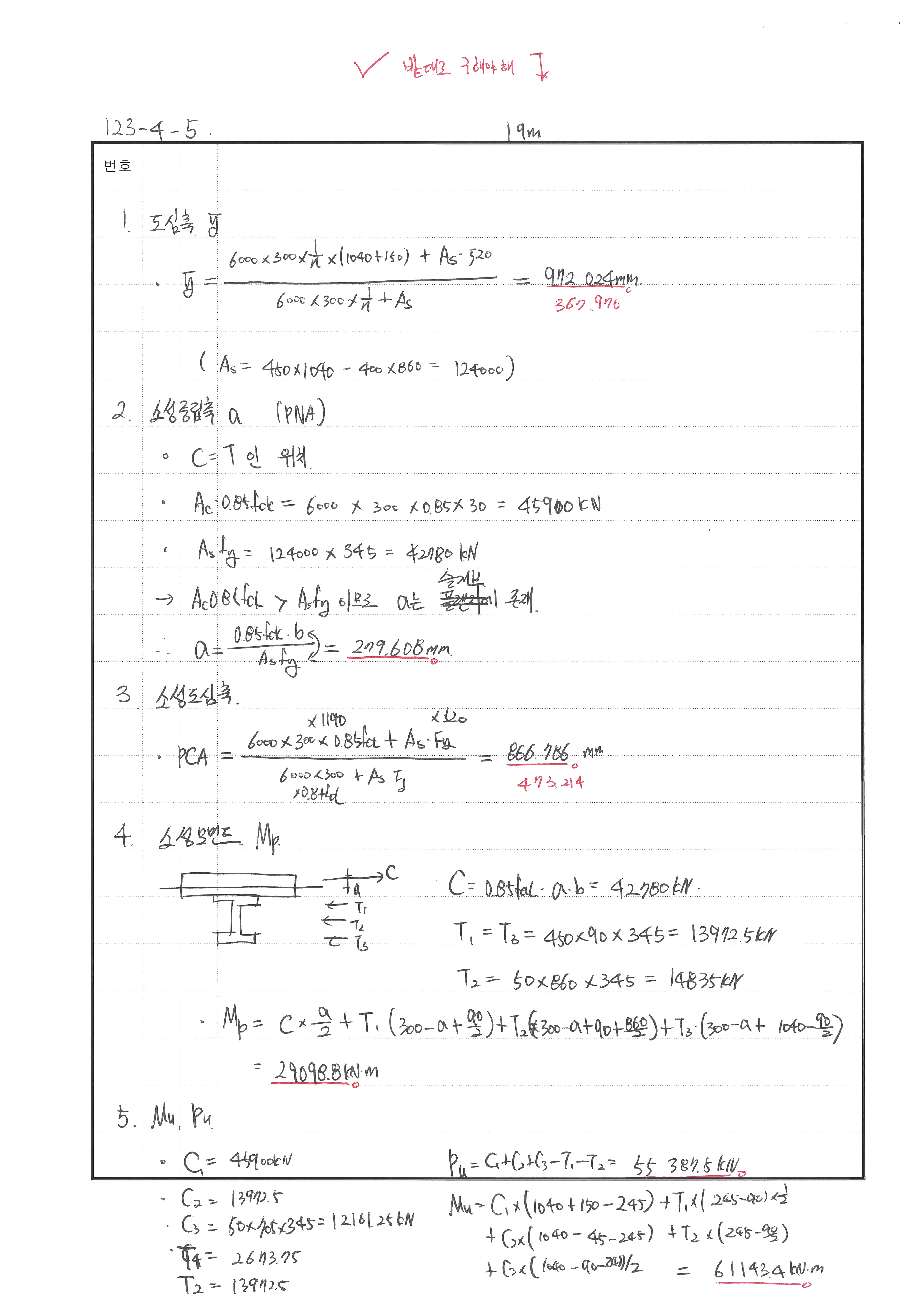
  1. 도심축 n 조심
  2. 소성중립축 C=T
  3. 소성도심축 (도심축에서 n고려 대신 fck Fy 고려)
  4. 소성모멘트 : 노출형합성보 모멘트 산정처럼 a 구해야함
  5. 최대모멘트, 최대축하중 : 강도감소계수 모멘트0.9 축력 0.75 → 강도감소계수 적용하지 않아도 될듯

240621 O 240530 X