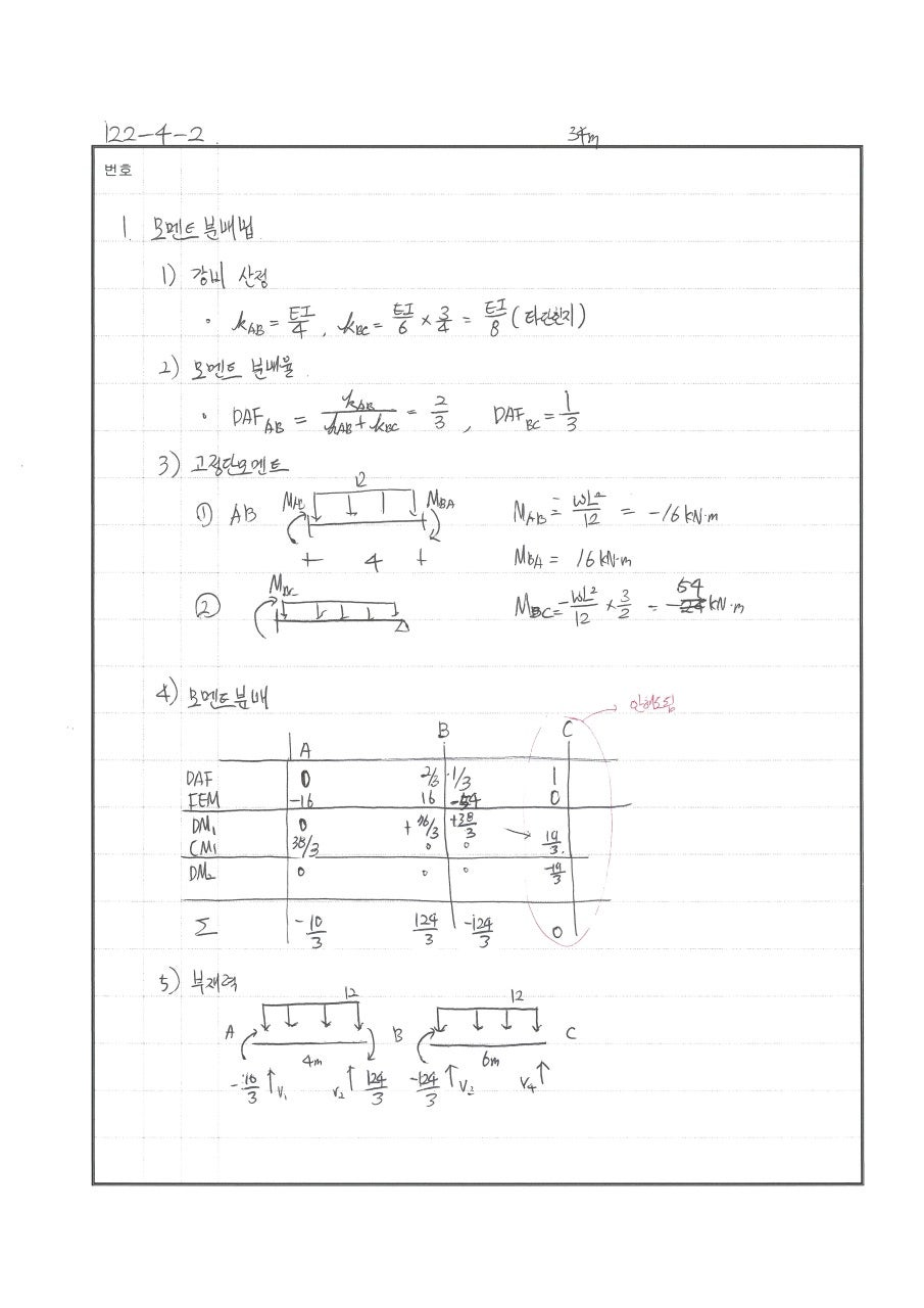
풀이

  • 모멘트 분배법 : 힌지
  • 전단응력도 산정시 : 도심이 중심이 아닌 경우

240511 △ 푸는 과정은 OK 더 빨리 풀어야함. 20분이내로 분배율 반대로 씀 240429 X 전단응력 산정시 Q값 산정에서 미스