풀이

15.좌굴안정론 참고해서 다른 문제들도 확인

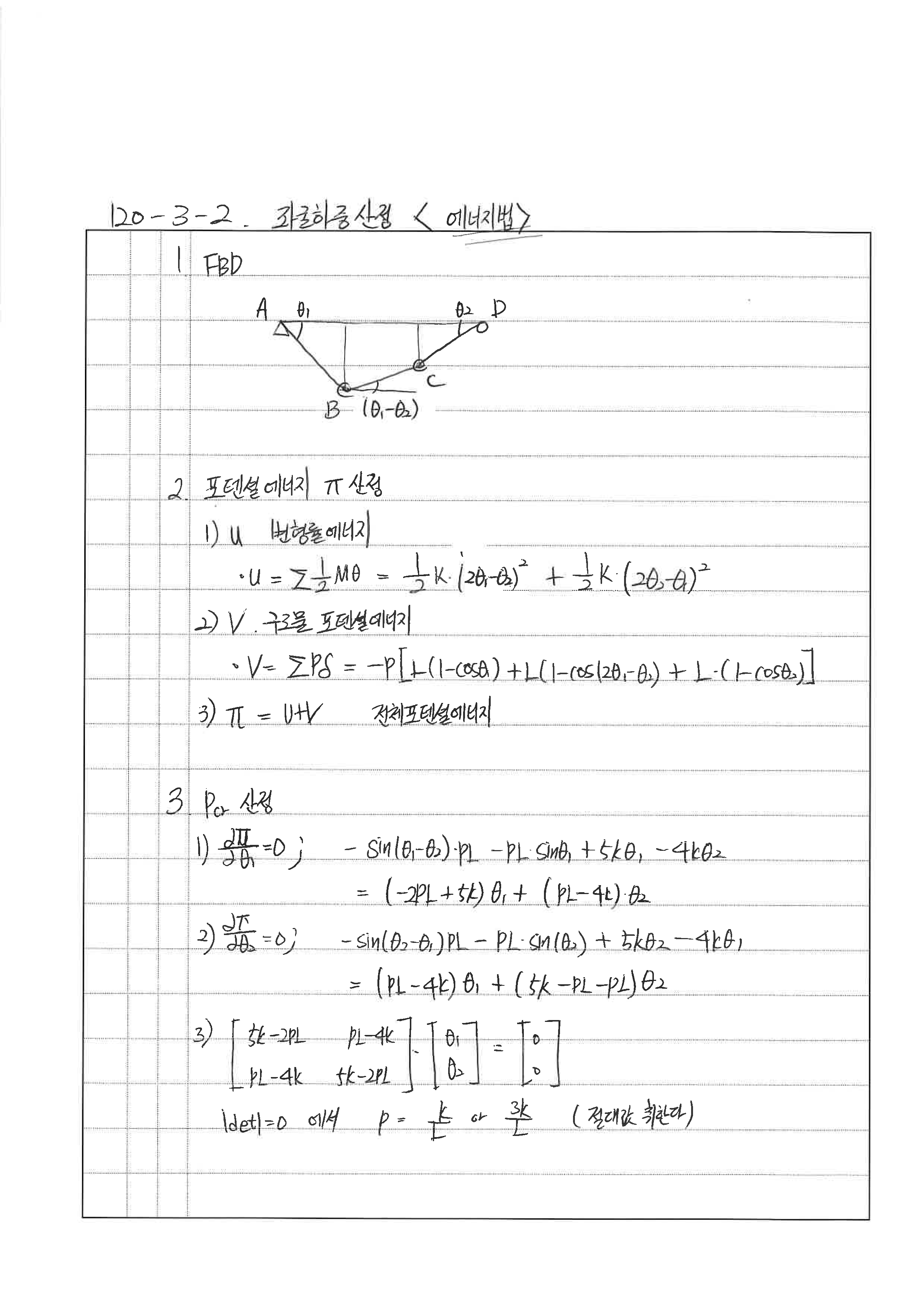
240530 X 손도 못댐 240507 X 아직 안정론 미숙지 (내부변형에너지 + 외부포텐셜에너지) 전체포텐셜에너지 최소포텔셜에너지 240430 X