풀이

하중 산정방법에 따라 답이 조금씩 달라질 수 있음.

240717 X

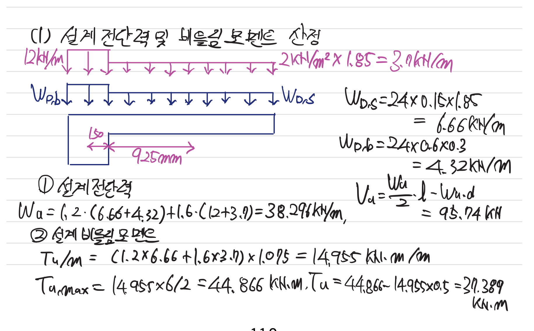
  1. 하중 산정 시 보 상부의 2kN/m2 누락
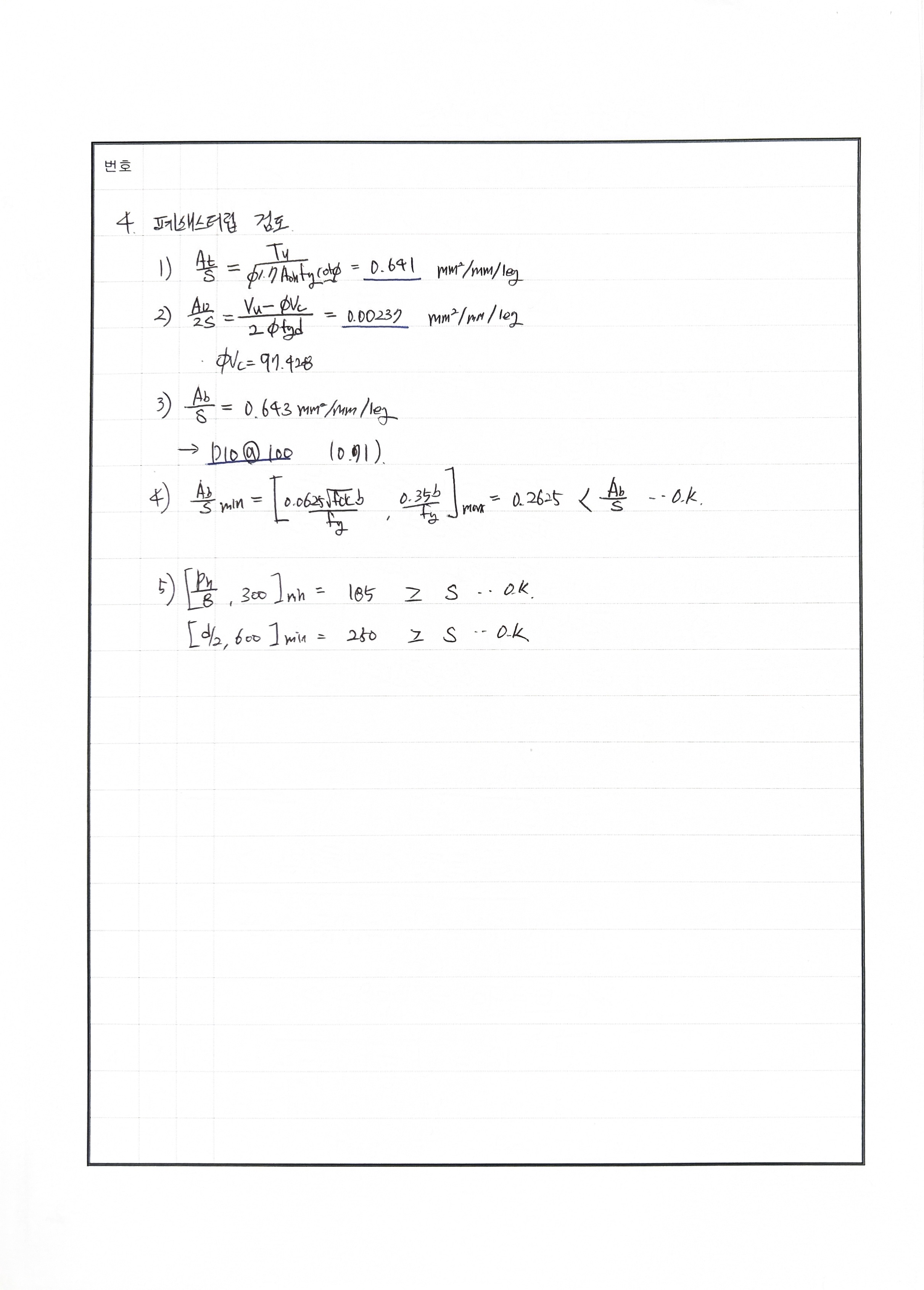
  2. 는 스터럽 중심까지의 거리
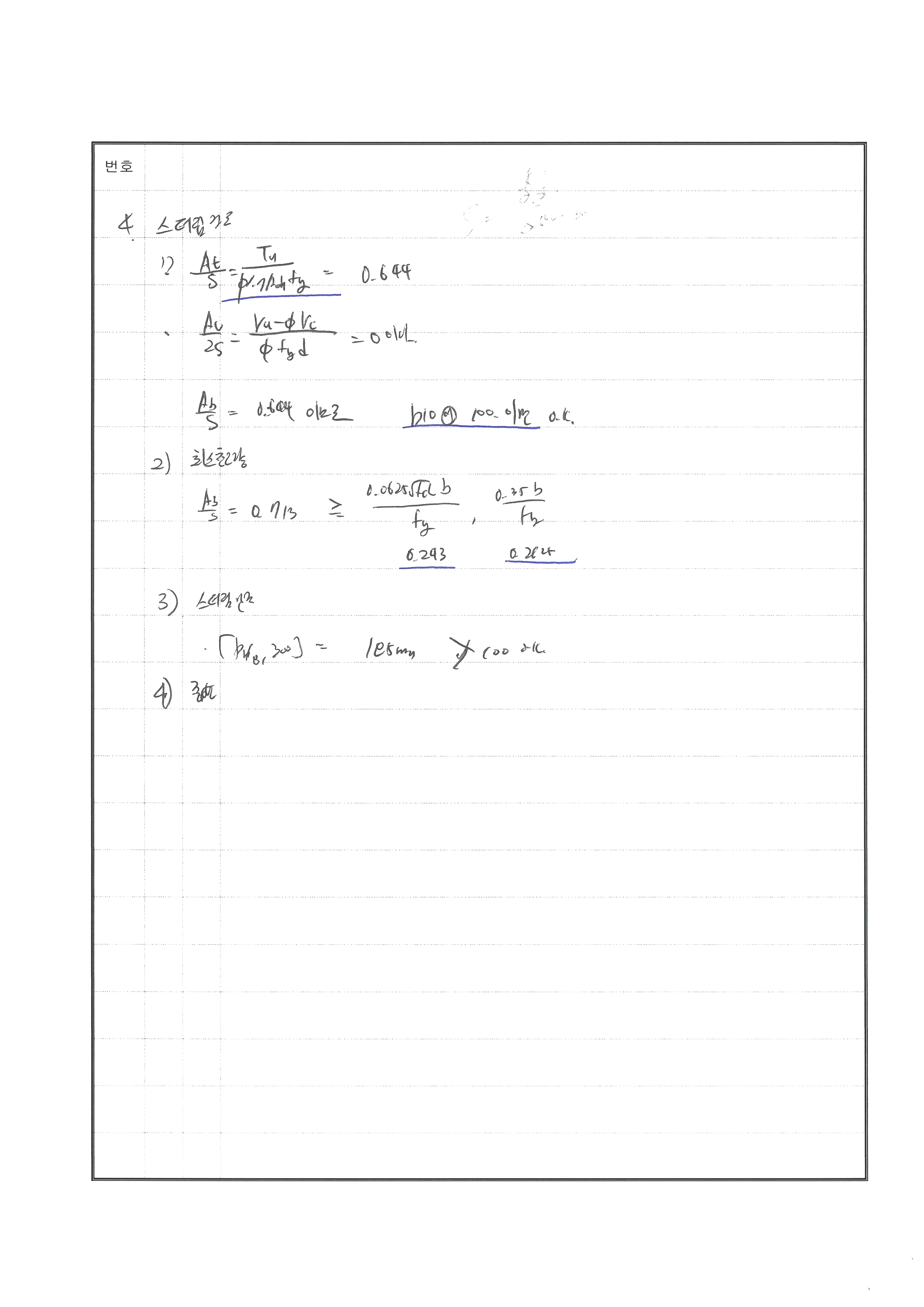
  3. 폐쇄형 철근 산정시 Ab는 철근 한개의 면적인데 2개로 계산함. 240511 O 240428 X 위험단면에서 소요하중산정, 폐쇄형스터럽 산정식