풀이

240716 O

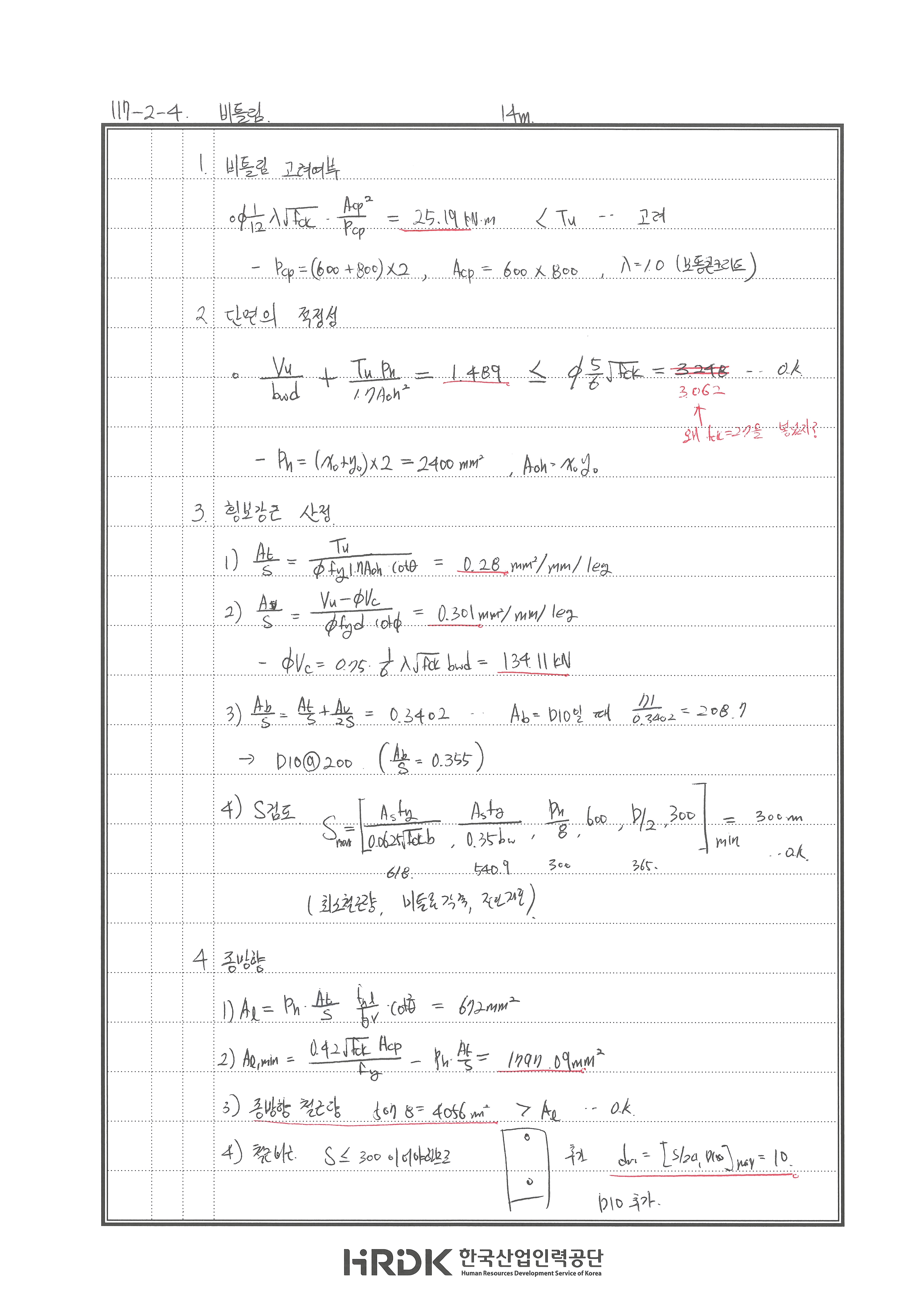
  • 실수 있음 fck 에 27넣어서 계산함.. 240621 △ bw 실수, 종방향 철근 검토 240507 X 비틀림에서 종방향 철근 산정 식 누락 240428 X

단변방향 철근 300초과함. 중간에 배근 추가