풀이 (강구조 빨간책 p.63)
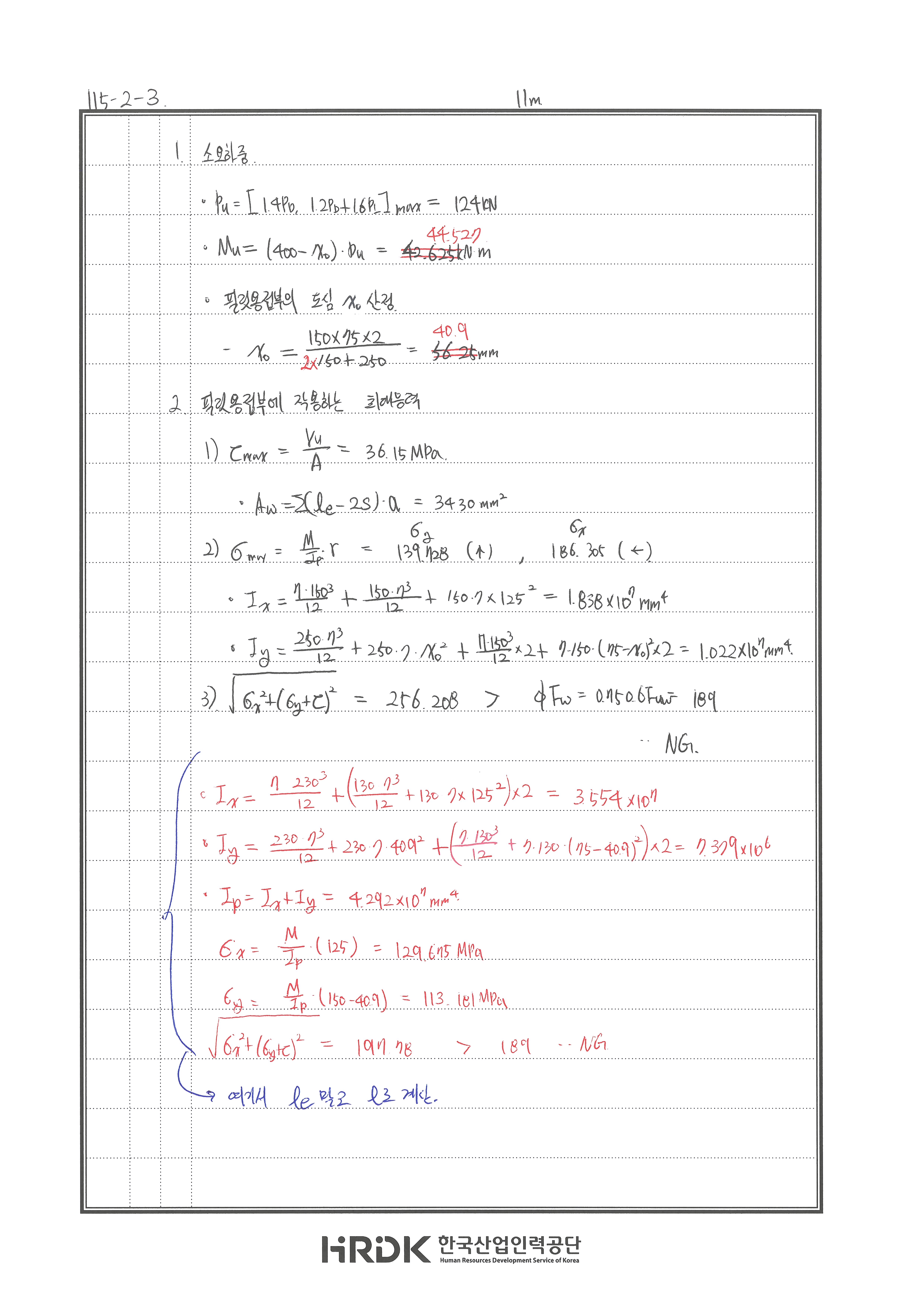
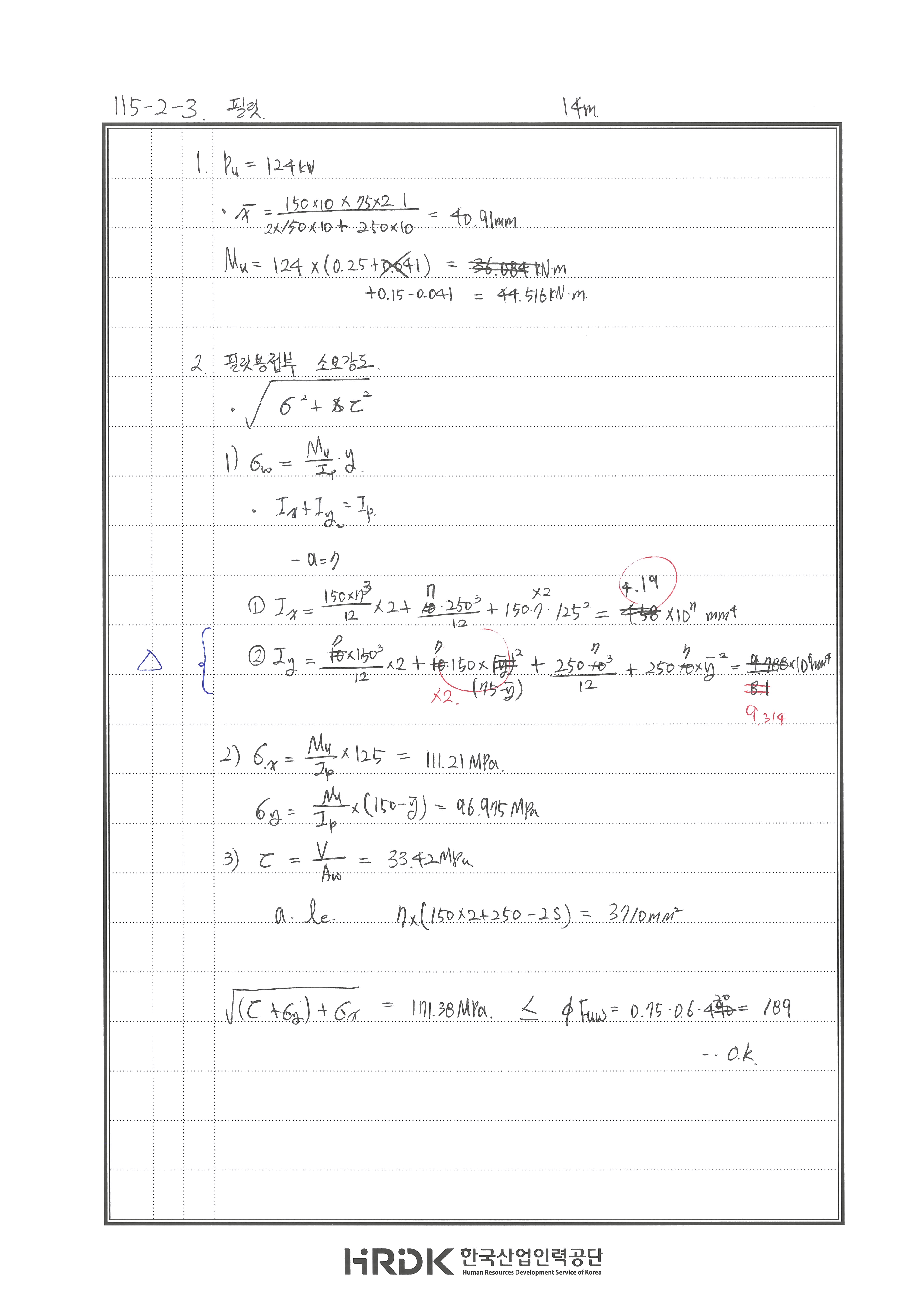
빨간책에서는 전단응력 산정 시 le = 250 + 150 - 2×10 으로 계산 Aw, Ix ,Iy 계산할 때는 le 말고 l로 계산함.
240719 △ Iy 산정 실수 240715 X
- a로 산정해야 하는데 s로 산정함
- Sw, Iw 산정 시 l,le 뭐로 할까? ㄷ일 때 난감
- Aw 산정시에는 le 240702 X 도심부터 틀림.. 240501 X 단면2차모멘트 구하는데서 실수
-첨부파일-🗑️/Untitled_20240705_090910_38.jpg)
-첨부파일-🗑️/Untitled_20240417_203615_10.jpg)
-첨부파일-🗑️/스크린샷-2024-02-01-오후-3.43.50.png)
Oct 14, 20241 min read
빨간책에서는 전단응력 산정 시 le = 250 + 150 - 2×10 으로 계산 Aw, Ix ,Iy 계산할 때는 le 말고 l로 계산함.
240719 △ Iy 산정 실수 240715 X
-첨부파일-🗑️/Untitled_20240705_090910_38.jpg)
-첨부파일-🗑️/Untitled_20240417_203615_10.jpg)
-첨부파일-🗑️/스크린샷-2024-02-01-오후-3.43.50.png)