Search
❯
Oct 14, 20241 min read
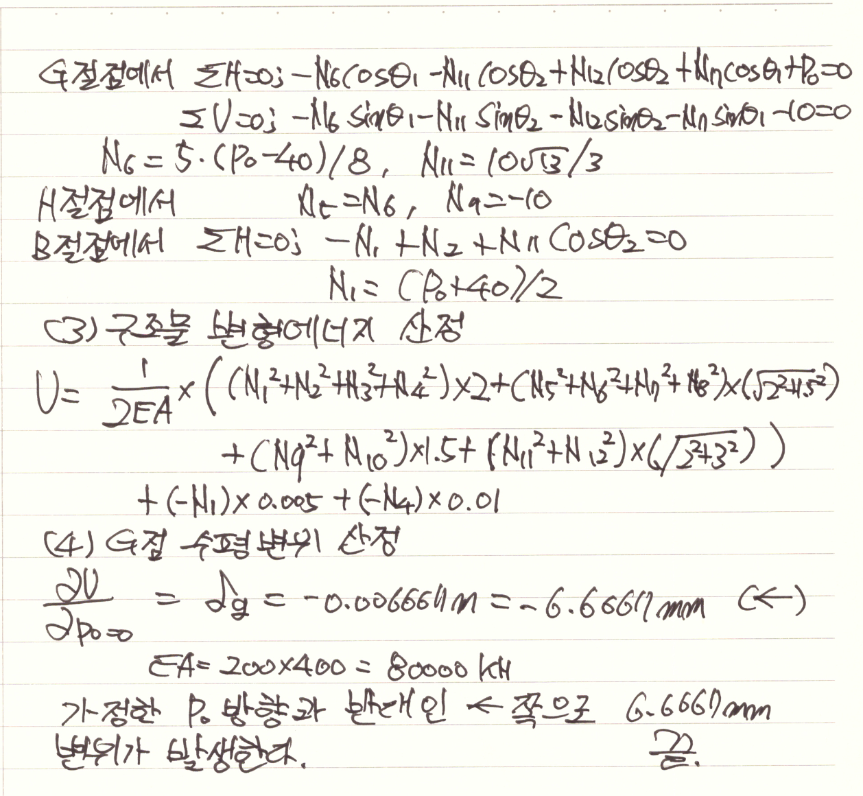
240407 풀이 1차 에너지법 틀림 2차 변위매트릭스법 : 방정식이 복잡 틀림 3차 에너지법 맞음..(근데 여기서도 실수) 240428 X m , mm 실수