풀이
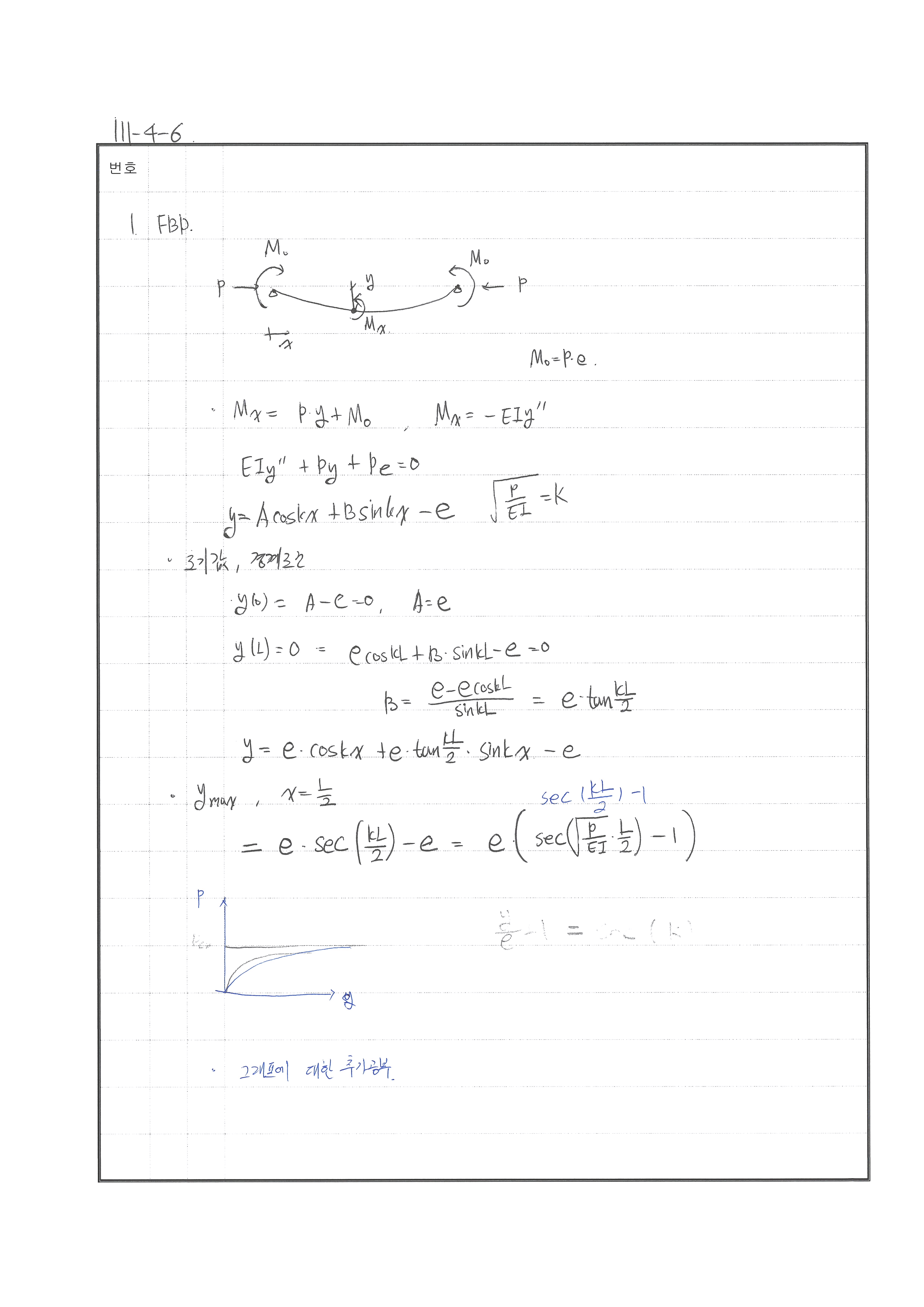
편심압축력을 받는 부재의 좌굴에 대한 이해 편심하중을 받는 기둥의 좌굴 편심을 받는 좌굴의 좌굴하중은 편심은 받지 않는 좌굴하중과 같다. 그러나 편심에 의한 모멘트 때문에 부재의 항복은 더 빨리 일어난다. 240509 X
-첨부파일-🗑️/Pasted-image-20240709184119.png)
-첨부파일-🗑️/2024.-5.-12.---5.jpg)
-첨부파일-🗑️/Untitled_20240408_224755_29.jpg)
-첨부파일-🗑️/스크린샷-2024-02-05-오후-3.55.17.png)
-첨부파일-🗑️/스크린샷-2024-02-05-오후-3.55.24.png)
Oct 14, 20241 min read
편심압축력을 받는 부재의 좌굴에 대한 이해 편심하중을 받는 기둥의 좌굴 편심을 받는 좌굴의 좌굴하중은 편심은 받지 않는 좌굴하중과 같다. 그러나 편심에 의한 모멘트 때문에 부재의 항복은 더 빨리 일어난다. 240509 X
-첨부파일-🗑️/Pasted-image-20240709184119.png)
-첨부파일-🗑️/2024.-5.-12.---5.jpg)
-첨부파일-🗑️/Untitled_20240408_224755_29.jpg)
-첨부파일-🗑️/스크린샷-2024-02-05-오후-3.55.17.png)
-첨부파일-🗑️/스크린샷-2024-02-05-오후-3.55.24.png)