풀이
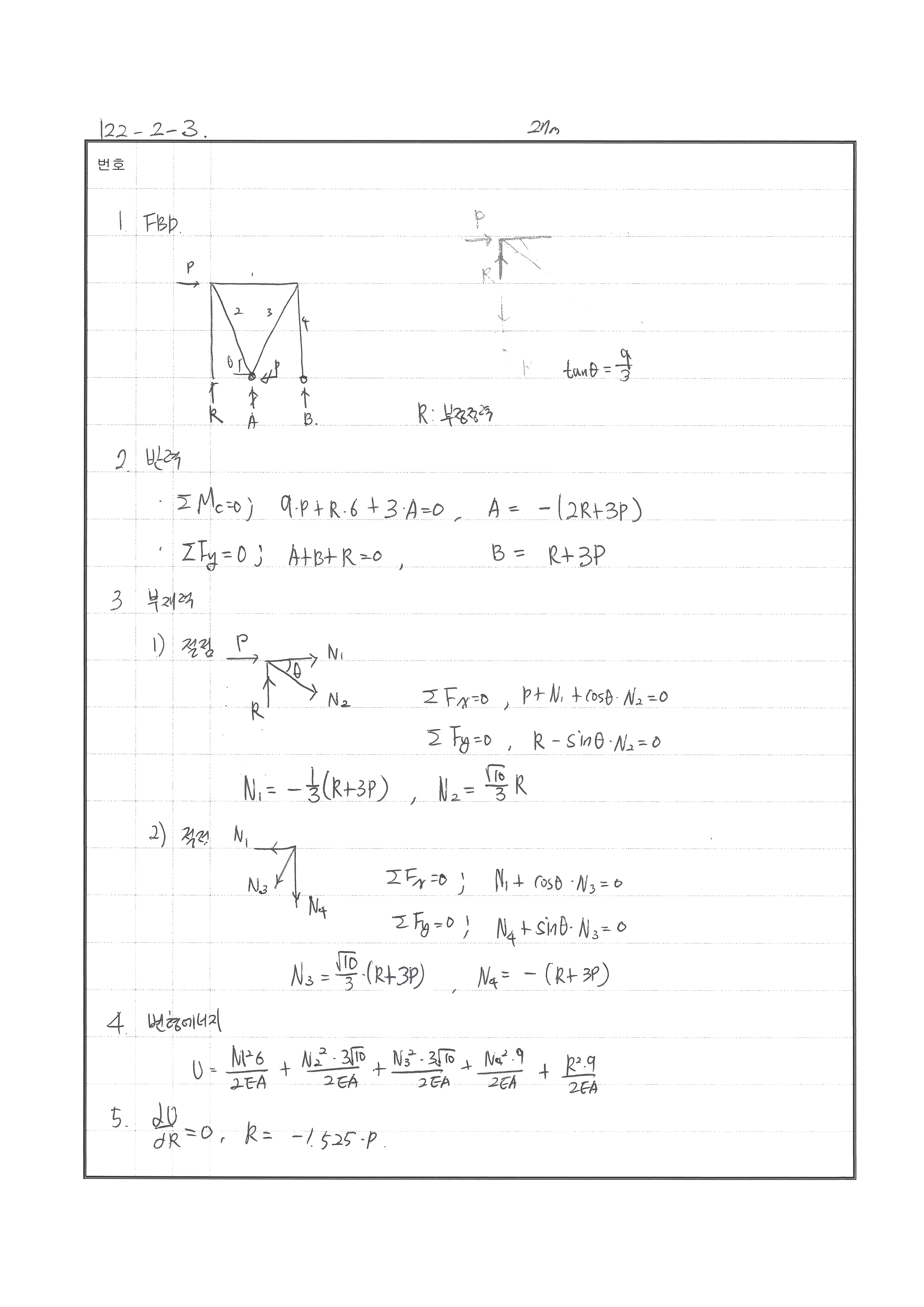
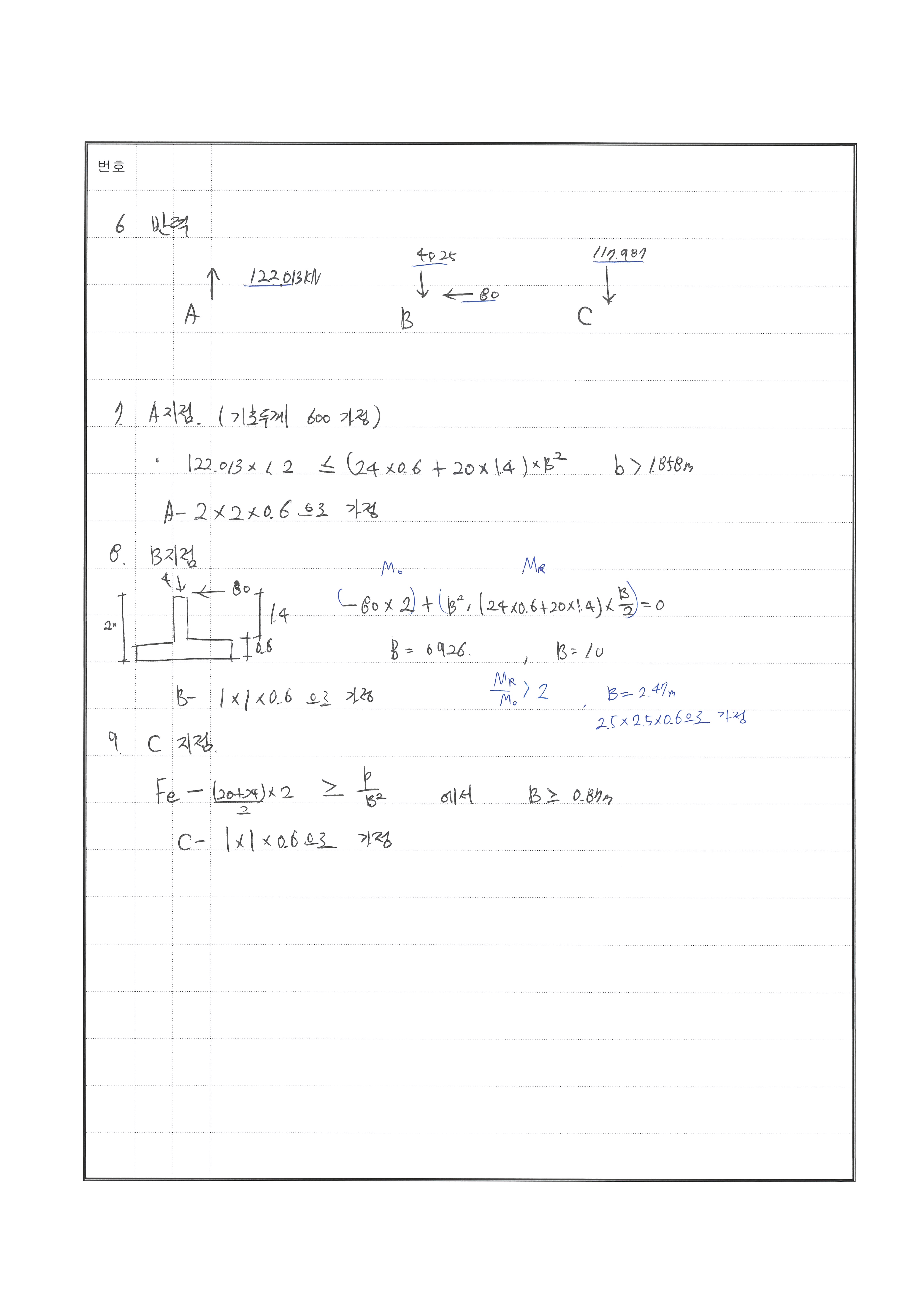
부정정 트러스 에너지법 혹은 변위매트릭스법을 이용해 반력을 산정 A 지점 인발 B 지점 수평력 C 지점 압축에 대한 기초설계를 하는 건데 B에 대한 설계가 애매해
- 옹벽처럼 설꼐할 것인가(전도모멘트 지압)
- 모멘트를 설계할 것인가 B지점에 대한 답 없음.
240510 X 240428 X 30m
전도에 대한 안전률 2.0으로 검토하기
-첨부파일-🗑️/2024.-5.-12.---12.jpg)
-첨부파일-🗑️/Untitled_20240408_224755_11.jpg)
-첨부파일-🗑️/Untitled_20240408_224755_12.jpg)
-첨부파일-🗑️/Untitled_20240408_224755_13.jpg)
Oct 14, 20241 min read
부정정 트러스 에너지법 혹은 변위매트릭스법을 이용해 반력을 산정 A 지점 인발 B 지점 수평력 C 지점 압축에 대한 기초설계를 하는 건데 B에 대한 설계가 애매해
240510 X 240428 X 30m
전도에 대한 안전률 2.0으로 검토하기
-첨부파일-🗑️/2024.-5.-12.---12.jpg)
-첨부파일-🗑️/Untitled_20240408_224755_11.jpg)
-첨부파일-🗑️/Untitled_20240408_224755_12.jpg)
-첨부파일-🗑️/Untitled_20240408_224755_13.jpg)