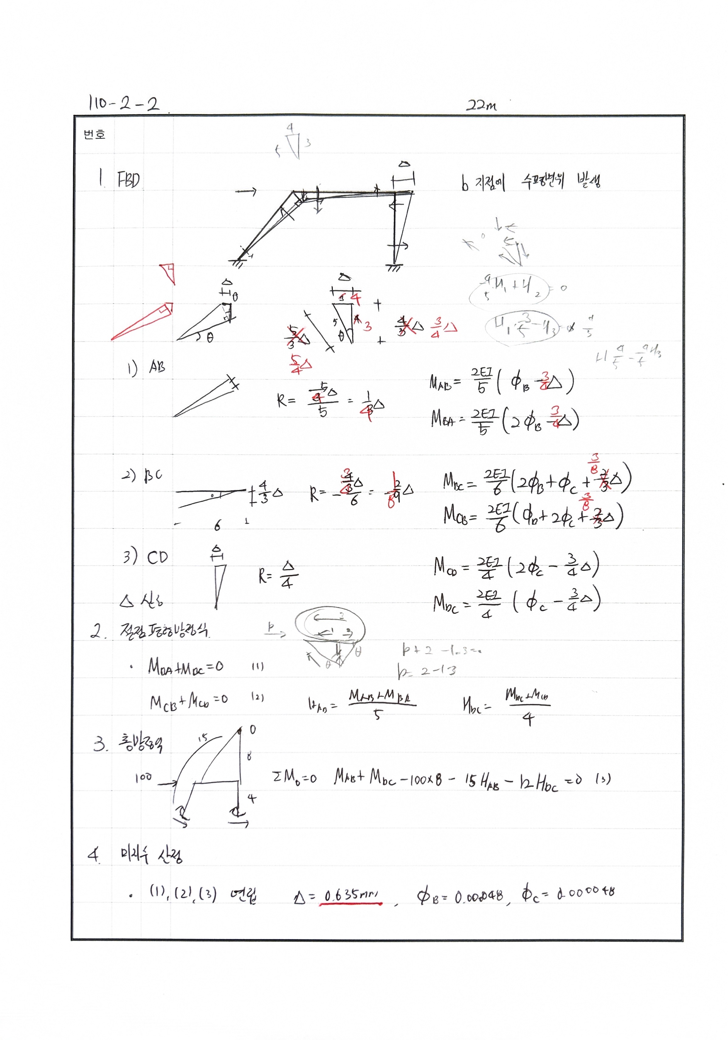
풀이

  • 절점 B로 인한 부재회전각 발생(BC)
  • 층방정식
  • 쉬운순서 에너지법 >> 처짐각법 >> 변위매트릭스법

240714 △ 계산기 입력 실수 240708 O 에너지법 240617 △ 실수 240512 X 부재회전각 발생 실수, 층방적식 못구함

에너지법

처짐각법

매트릭스 변위법