🪴 Quartz 4.0
Search
Search
Dark mode
Light mode
Explorer
(02) Category1
1. 일반 및 기타
2. 설계개념 및 하중
3. 내진설계
4. RC(철콘)
5. STL(철골)
6. 역학
(03) Category2
1. 일반 및 기타
01. 총칙, 구조검사, 기타
02. 시특법
03. 붕괴, 철거
05. 기타구조
3. 내진설계
01. 내진일반, 강성중심, 비틀림
02. 지진구역, 지반조건, 응답스펙트럼
04. 지진력저항시스템
07. 성능기반설계, 푸시오버, 내진성능평가
09. 비구조요소
4. RC(철콘)
03. 철근상세, 정착과 이음
05. 기둥일반, 압축강도
06. 전단, 브래킷, 비틀림
09. RC 내진설계기준
5. STL(철골)
00. 강구조일반
01. 강재
02. 접합
04. 압축재, 좌굴
06. 조합력
07. 합성부재
08. STL 내진설계
09. 기타 강구조
6. 역학
05. 트러스해석
06. 동역학
08. 기타구조해석
(11) 서술형 노트
(시특법)제1~3종시설물의 범위
Diagonal Grid 구조시스템
EPS 블럭
P-M 상관도
RC보와 STL기둥의 접합
가설구조의 붕괴
가설구조의 해체
감쇠시스템의 요구사항
강구조의 부재
강구조의 성능기반 내화설계
강재의 기계적성질
강재의 모멘트재분배
강재의 온도에 따른 성질변화
강재의 잔류응력
강재의 취성파괴
건물간의 거리
건물의 중요도
건축구조기술사의 협력
건축구조기준 개정내용
건축물의 성능목표
격막작용
경량콘크리트 계수
경사지붕적설하중
경주지진의 특징
고강도콘크리트와 폭렬현상
고력볼트의 접합
고력볼트의 지레작용
고유치해석
고장력강
골조 접합부상세(특수모멘트골조)
공동주택 표준바닥구조
공진
구조 일체성 요구조건
구조변경 시 고려사항
구조설계기준, 시방서, 한국산업표준
구조설계도의 포함내용
구조체배치
굵은골재의 최대 공칭치수
균열강성
그루브 용접
극한강도설계법
기계 및 전기 비구조요소 내진설계
기둥 배근상세(특수모멘트골조)
기둥띠철근 및 나선철근 간격
기둥의 횡방향 구속효과
기둥철근의 이음
기둥축소와 부등축소
기본 등분포 활하중
기본지상적설하중
기성콘크리트 말뚝두부
기존 콘크리트 구조물의 안정성 평가
기초 내진배근상세
기초공사
기초의 지반침하대책
기초의 크기 산정
깊은보의 설계 일반사항
내진 해석법
내진갈고리 상세
내진구조
내진능력 산정
내진등급과 중요도계수
내진보강 중 철근콘크리트 채움벽
내진설계 고려사항
내진설계 대상건축물
내진설계범주D의 추가고려사항
내진설계범주란
내진설계범주별 해석법
내진설계범주에 따른 설계시 고려사항
내진설계의 원칙
내진설계의 절차
내진성능평가 보강방안
내진성능평가 절차
내진성능평가의 해석평가방법
다발철근 철근상세
다중이용건축물
대각연결보
대공간구조
돌발하중 하중조합
동결심도
동적해석법
등가정적해석법
띠철근 및 나선철근 기둥의 거동특성
레질리언스 계수
마이크로 파일
말뚝기초의 내진상세 및 요구조건
말뚝기초의 부마찰력
말뚝기초의 재하실험
말뚝의 지지력 산정방법
매달린 천장 내진설계
매스콘크리트
메가칼럼
메탈터치
면진구조 개요
면진구조물의 요구사항
모멘트재분배
모멘트저항골조시스템
목구조
묻혀있는 철근의 이음
물고임
밑면전단력 보정계수 Cm
바닥판의 진동
반복 및 충격하중에 대한 강재의 특성
버림콘크리트의 역할
버팀재, 철근고임재, 철근결속선
벽체의 최소철근비 및 최소두께
병용기초에 대해 설명(말뚝전면복합기초)
병용접합
보 배근상세(보통모멘트골조)
보 배근상세(중간모멘트골조)
복합화 공법(HI-Beam)
볼트의 설계접합강도
볼트의 연단 및 측단거리
부력에 대한 안정성 확보 대책
불균형 모멘트의 전달
붕적토
브래킷의 설계
브래킷의 주인장철근 정착방법 및 이유
브레이스 시스템
블록전단파단
비구조요소 개정사항
비구조요소의 내진설계
비구조요소의 동적해석
비구조요소의 등가정적해석
비구조요소의 주요피해유형
비선형정적해석법
비선형해석 거동특성 및 모델링
비선형해석 부재의 이력곡선
비정형 구조물의 고려사항
비틀림 해석이론
비틀림설계 기준적용 검토사항
비틀림의 기본식 전개
빌딩풍
설계속도압 및 설계풍속
설계응답스펙트럼
설계전단력 산정(중간모멘트골조)
설계전단력 산정(특수모멘트골조)
성능기반내진설계의 허용기준
성능기반설계 결과의 검증
성능설계법
성능점-변위계수법
성능점-역량스펙트럼법
소규모구조 적용대상
소성설계법
수직비정형
수직저항시스템이란
수축,온도철근
수평비틀림모멘트
순수 비틀림과 와핑
순환골재
스트럿-타이 모델의 설계절차
스트럿-타이 모델의 용어정리
슬래브 개구부의 제한사항 및 보강
슬래브 상부근 처짐에 의한 내력감소
슬래브 전단보강
슬래브 확대머리 전단스터드 보강
승용차량 방호하중
시간이력해석법 개요
시간이력해석법 설계지진파 산정
시공 오차에 대한 말뚝 보강방법
시공 중 구조안전확인
시공상세도의 구조안전 확인
시스템의 조합시 요구사항
신뢰도 지수
신축줄눈(E.J)
아웃리거 & 벨트트러스
안전관리계획서
안정용 가새
알칼리-골재반응에 의한 균열
암질표시율, 코어회수율
압축부재의 단면치수, 최소철근비
압축부재의 설계축강도
앵커의 파괴모드
약층이 존재하는 모멘트골조에 대한 고려사항
언더피닝 공법
연속보 또는 1방향 슬래브의 근사해법
연속전단벽과 연결보
염화물 제한사항
옵셋아웃리거
용접부 결함
용접부 비파괴검사
용접부 피로강도
용접부의 스캘럽
용접이음의 특징
월거더
유사활하중
유효좌굴길이
유효지반가속도
응답스펙트럼해석법
응력집중계수
이중골조시스템
이중바닥의 내진설계
이질지반과 기초
이형철근의 이음
인장 및 압축철근 정착길이
인접건물과 지하외벽
자유도
장력장(Tension Field)
장선구조
재료에 대한 요구사항
전단벽구조시스템
전단보강된 콘크리트보의 전단강도(Vn)
전단스팬비에 따른 파괴형태
전단지연(강재)
전단지연(초고층)
접촉면의 전단저항방법
접합부 형태에 따른 이력거동
접합상세 도시
정착길이 부족시 보완방안
정착철근 상세(복부철근)
정착철근 상세(정착일반 및 절단)
정착철근 상세(정철근 및 부철근)
제작설치자의 책무
제진장치의 구분
조립압축재
주골조설계용 풍하중
주요 고정하중
주철근의 간격제한 일반상세
준다중이용건축물
중량차량 활하중
지반개량 공법
지반의 분류
지반의 액상화
지반조사 및 지내력시험
지반증폭계수의 보정
지붕의 국부적설하중
지붕활하중의 저감
지역건축안전센터
지지력,지내력 설명 및 산정방법
지진력저항시스템의 설계계수
지진의 의한 피해
지진토압 산정방법(등가정적법)
지진토압 산정방법(시간이력)
지진토압 산정방법(응답변위법)
지진토압 산정방법(하중조합)
지하구조물 변위적합 내진설계
지하구조물의 내진설계
지하수 대책
지형계수
진도와 규모
질량참여계수
책임구조기술자
철골 모멘트골조
철골 스티프너의 종류와 역할
철골보 웨브의 개구부 설치
철골특수강판전단벽
철근부식에 대한 환경조건
철근의 가스압접
철근의 성질 및 표기
철근의 정착과 부착파괴
철근의 표면 상태
초고층건축물
최대지반가속도, 유효최대가속도
최소 전단보강근 및 제한사항
최소나선철근비 유도
층간변위
층고절감형 바닥시스템
층상균열(Lamellar Tearing)
치장벽돌벽체 내진설계
칸막이벽 내진설계
콘크리트 구조의 연성확보
콘크리트 구조의 재하시험
콘크리트 구조의 줄눈
콘크리트 균열의 종류
콘크리트 내구성 설계기준
콘크리트 내구성 설계기준의 보수보강 설계
콘크리트 배합강도
콘크리트 보 처짐의 구간별 특성
콘크리트 비파괴시험
콘크리트 압력분포
콘크리트 압축강도 시험
콘크리트 압축강도 종류
콘크리트 코어채취
콘크리트 피복두께
콘크리트 휨부재의 장기처짐
콘크리트구조물의 보수보강
콘크리트보의 전단강도(Vc)
콘크리트의 건조수축 균열
콘크리트의 구성요소
콘크리트의 균열발생 원리
콘크리트의 내화성
콘크리트의 동결융해
콘크리트의 변형도 연화
콘크리트의 소성수축 균열
콘크리트의 소성침하 균열
콘크리트의 열화
콘크리트의 염해에 의한 균열
콘크리트의 온도균열
콘크리트의 온도변화
콘크리트의 응력변형도 곡선
콘크리트의 인장강성효과
콘크리트의 자기수축
콘크리트의 크리프 현상
콘크리트의 휨강도시험
크레인하중
타설 후 콘크리트의 진동
타입말뚝의 허용지지력 산정
탑다운
터파기 및 흙막이
토공사 흐름
토압의 종류
튜브 시스템
특별지진하중
특별풍하중 적용대상
특수경계요소
특수구조시스템
특수모멘트골조 기둥-보의 모멘트비
평면비정형
평지붕적설하중
평지붕적설하중과 완경사지붕
표준갈고리 인장철근 정착길이
표준갈고리 일반상세
풍동실험 종류
풍하중 감소대책
풍하중 일반
풍하중과 지진하중
풍하중에 의한 수평변위
풍하중에 의한 진동현상
풍하중의 사용성평가
풍향계수
프리스트레스 구조의 개요 및 분류
프리스트레스 구조의 응력손실
프리스트레스 연속보
플랫슬래브 내진배근상세
플랫슬래브의 지판
플랫슬래브의 철근배근
필로티 배근상세
하중조합
한계상태 설계법
합성보 개요
합성부재의 하중전달
허용응력 설계법
현장재하실험의 일반사항
현장타설콘크리트 말뚝의 구조세칙 및 공법
확대머리 이형철근의 정착길이
확대머리 전단스터드 및 확대머리 전단철근
환경소음 및 진동(dB)
환경친화형 콘크리트
활하중의 부분재하
활하중의 저감과 제한사항
횡구속 구조물 판별
후설치 앵커
휨 해석 시 기본가정
휨균열철근
휨부재의 파괴한계 검토
휨재의 강도감소계수
휨재의 거동
휨재의 검토사항
휨재의 좌굴
흙막이 공법
흙의 구성과 상태
히빙현상, 보일링현상, 파이핑현상
(12) 계산형 노트
00. 계산형 FLOW 목차
A1. 설계응답스펙트럼 도시
A2. 주골조 설계용 풍하중 산정
A3. 구조물의 수직비정형 판단
A4. 구조물의 비틀림산정
A7. 비구조요소 내진설계(계산)
B10. 역학기본
B11. 단면성질
B12. 고정단모멘트
B22. 전단중심
B23. 합성부재 설계
B24. 축하중을 받는 부재
B25. 단면응력 산정
B26. 주응력 및 변형률
B27. 비틀림
B31. 부정정차수 산정
B32. 횡강성 산정
B33. 구조물의 변형
B34. 부정정구조물의 해석
B35. 에너지법
B36. 변위매트릭스법
B36A. 직접강성도 매트릭스법
B37. 모멘트분배법
B38. 3연 모멘트법
B39. 처짐각법
B40. 복합구조물
B41. 영향선 및 이동하중
B42. 원형 구조물(아치, 원, 포물선)
B43. 케이블
B44. 온도변화
B45. 스프링지점
B46. 지점침하
B47. 제작오차
B51. 트러스의 에너지법
B52. 트러스의 변위매트릭스법
B53. 트러스의 절점법,절단법
B61. 단자유도 비감쇠 자유진동
B62. 단자유도 감쇠 자유진동
B63. 단자유도 비감쇠 조화진동
B63A. 단자유도 감쇠 조화진동
B64. 다자유도 비감쇠 자유진동
B65. 고유치해석
B66. 충격하중
B71. 기둥의 좌굴
B72. 소성해석
B73. 강체기둥
B81. 포탈법 (Portal Method)
B82. Cantilever Method
R1. 휨균열철근 산정
R2. 단순보의 처짐검토
R3. 연속보의 처짐검토
R4. 휨부재 해석
R5. 휨부재 설계
R6. T형보 철근배치(표피철근)
R7. 부모멘트 재분배
R8. RC 기둥 강도산정
R9. 보기둥의 최대설계모멘트
R10. 슬래브-기둥 접합부
R11. 보의 전단설계
R12. 브라켓 설계
R12A. 휨부재의 수평전단설계
R12B. 균열면의 힘의 전달
R13. 비틀림 설계
R14. 휨철근 정착, 절단
R14A. 정착 및 이음길이 산정
R15. 1방향 슬래브 설계
R16. 2방향 슬래브 설계
R17. 슬래브 전단설계 및 보강
R18. 독립기초 설계
R19. 연결기초 설계
R20. 온통기초 설계
R21. 말뚝기초 설계
R22. 기둥 밑면의 힘의 전달
R23. 옹벽설계
R24. 지하외벽 설계
R26. 프리스트레스 보의 응력산정
S1. 고력볼트 접합
S2. 필릿용접 접합
S4. 인장력을 받는 철골부재
S8. 압축을 받는 철골부재
S10. 휨과 전단을 받는 철골부재
S11. 집중하중을 받는 철골부재
S12. 조합력과 2차효과
S14. 노출형 합성보
S15. 매입형 합성기둥
S16. 충전형 합성기둥
S17. 보-기둥 이음부
S18. 전단접합부
S19. 모멘트접합부
S20. 패널존
S21. 베이스플레이트
S22. 지붕의 물고임
(21) 문제모음
0. ~99
65-2-5
66-2-3
69-2-5
70-2-3
71-3-5
72-3-2
75-2-2
75-3-2
77-2-1
77-3-4
77-4-2
77-4-5
79-2-2
79-3-4
80-4-3
81-3-4
83-2-1
83-3-2
83-3-3
83-3-6
84-3-5
84-3-6
85-3-1
86-4-3
87-2-1
87-2-2
87-3-6
87-4-6
88-2-2
88-2-6
88-3-2
89-2-5
89-3-1
90-2-3
90-3-4
91-4-1
92-2-5
92-3-2
92-3-3
92-3-5
92-3-6
93-3-6
93-4-3
94-2-2
94-3-3
94-4-1
95-2-5
96-3-2
96-3-5
97-2-6
97-3-2
97-4-3
98-1-7
98-4-4
99-3-3
99-3-5
99-4-3
99-4-5
0. 100~109
100-2-3
100-2-4
100-3-2
100-4-3
101-1-1
101-1-2
101-1-8
101-2-2
101-2-3
101-2-5
101-2-6
101-3-2
102-1-11
102-1-12
102-2-3
102-2-5
102-3-5
102-3-6
102-4-5
102-4-6
103-1-7
103-1-11
103-2-1
103-2-2
103-2-4
103-4-3
104-1-6
104-2-1
104-2-6
104-3-1
104-3-2
104-4-1
104-4-2
105-1-11
105-2-1
105-2-6
105-3-1
105-4-1
105-4-2
105-4-3
106-1-8
106-1-9
106-1-13
106-2-2
106-2-4
106-3-3
106-3-5
106-4-1
106-4-2
106-4-4
107-1-8
107-2-1
107-3-2
107-3-4
107-4-4
108-1-2
108-1-6
108-1-10
108-2-3
108-2-5
108-3-1
108-3-2
108-3-5
108-4-2
108-4-4
109-2-1
109-2-2
109-2-4
109-2-5
109-3-3
109-3-5
109-3-6
109-4-1
109-4-2
109-4-4
110-3-2
0. 110~119
115-2-5
115-2-6
115-3-1
115-3-2
115-3-3
115-3-4
115-3-5
115-3-6
115-4-1
115-4-2
115-4-3
115-4-4
115-4-5
115-4-6
116-1-1
116-1-2
116-1-3
116-1-4
116-1-5
116-1-6
116-1-7
116-1-8
116-1-9
116-1-10
116-1-11
116-1-12
116-1-13
116-2-1
116-2-2
116-2-3
116-2-4
116-2-5
116-2-6
116-3-1
116-3-2
116-3-3
116-3-4
116-3-5
116-3-6
116-4-1
116-4-2
116-4-3
116-4-4
116-4-5
116-4-6
117-1-1
117-1-2
117-1-3
117-1-4
117-1-5
117-1-6
117-1-7
117-1-8
117-1-9
117-1-10
117-1-11
117-1-12
117-1-13
117-2-1
117-2-2
117-2-3
117-2-4
117-2-5
117-2-6
117-3-1
117-3-2
117-3-3
117-3-4
117-3-5
117-3-6
117-4-1
117-4-2
117-4-3
117-4-4
117-4-5
117-4-6
118-1-1
118-1-2
118-1-3
118-1-4
118-1-5
118-1-6
118-1-7
118-1-8
118-1-9
118-1-10
118-1-11
118-1-12
118-1-13
118-2-1
118-2-2
118-2-3
118-2-4
118-2-5
118-2-6
118-3-1
118-3-2
118-3-3
118-3-4
118-3-5
118-3-6
118-4-1
118-4-2
118-4-3
118-4-4
118-4-5
118-4-6
119-1-1
119-1-2
119-1-3
119-1-4
119-1-5
119-1-6
119-1-7
119-1-8
119-1-9
119-1-10
119-1-11
119-1-12
119-1-13
119-2-1
119-2-2
119-2-3
119-2-4
119-2-5
119-2-6
119-3-1
119-3-2
119-3-3
119-3-4
119-3-5
119-3-6
119-4-1
119-4-2
119-4-3
119-4-4
119-4-5
119-4-6
0. 120~129
120-1-1
120-1-2
120-1-3
120-1-4
120-1-5
120-1-6
120-1-7
120-1-8
120-1-9
120-1-10
120-1-11
120-1-12
120-1-13
120-2-1
120-2-2
120-2-5
120-2-6
120-3-2
120-3-3
120-3-4
120-3-5
120-3-6
120-4-1
120-4-3
120-4-4
120-4-5
120-4-6
121-1-1
121-1-2
121-1-4
121-1-5
121-1-6
121-1-8
121-1-9
121-1-10
121-1-11
121-1-12
121-1-13
121-2-2
121-2-4
121-2-5
121-2-6
121-3-1
121-3-2
121-3-3
121-3-4
121-3-6
121-4-1
121-4-2
121-4-3
121-4-4
121-4-5
121-4-6
122-1-1
122-1-2
122-1-3
122-1-4
122-1-5
122-1-7
122-1-11
122-1-12
122-1-13
122-2-1
122-2-3
122-2-4
122-2-5
122-2-6
122-3-1
122-3-2
122-3-3
122-3-4
122-3-5
122-3-6
122-4-1
122-4-2
122-4-3
1. 역학
1401
1402
10101
10102
10103
10105
10106
10107
10108
10110
10111
10112
10114
10116
10205
10206
10207
10208
10209
10211
10212
10301
10308
10310
10314
10315
10316
10317
10318
10319
10321
10322
10323
10324
10326
10330
10401
10402
10406
10410
10411
10412
10417
10504
10505
10509
10510
10512
10513
10514
10515
10603
10701
10702
10704
10707
10708
10709
10711
10712
10801
10813
10816
10901
10907
10908
10909
10910
10911
11002
11003
11202
11203
11401
11402
11403
11502
11503
11509
11510
11511
11512
11513
11516
11517
11602
11606
11607
11611
11612
11614
11615
11616
11632
11701
11702
11703
11705
11707
11708
11709
11711
11712
11713
11714
11715
11716
11802
11804
11805
11806
11807
11809
11810
11811
11813
4. RC
4101
4102
4103
4201
4202
4203
4204
4205
4206
4207
4208
4209
4210
4211
4212
4213
4214
4215
4216
4217
4218
4219
4220
4221
4222
4301
4302
4303
4304
4401
4402
4404
4405
4406
4407
4501
4502
4601
4602
4603
4604
4605
4606
4607
4608
4609
4610
4701
4801
4802
4803
4804
4805
4806
4807
4808
4809
4810
4811
4812
4813
4814
4815
4816
4817
4818
4819
4820
4821
4822
4823
4824
5. STL
5001
5002
5003
5004
5005
5006
5007
5008
5009
5010
5011
5012
5013
5014
5015
5016
5017
5018
5019
5020
5021
5022
5023
5024
5025
5026
5027
5028
5029
5030
5031
5032
5033
5034
5035
5036
5037
5038
5039
5040
5041
5042
(22) 풀이모음
65-2-5 풀이
66-2-3 풀이
69-2-5 풀이
70-2-3 풀이
71-3-5 풀이
72-3-2 풀이
75-2-2 풀이
75-3-2 풀이
77-2-1 풀이
77-3-4 풀이
77-4-2 풀이
77-4-5 풀이
79-2-2 풀이
79-3-4 풀이
80-4-3 풀이
81-3-4 풀이
83-2-1 풀이
83-3-1 풀이
83-3-2 풀이
83-3-6 풀이
84-3-5 풀이
84-3-6 풀이
85-3-1 풀이
87-2-1 풀이
87-2-2 풀이
87-3-6 풀이
87-4-6 풀이
88-2-2 풀이
88-2-6 풀이
88-3-2 풀이
89-2-5 풀이
89-3-1 풀이
90-2-3 풀이
90-3-4 풀이
91-4-1 풀이
92-2-5 풀이
92-3-2 풀이
92-3-3 풀이
92-3-5 풀이
92-3-6 풀이
93-3-6 풀이
93-4-3 풀이
94-2-2 풀이
94-3-3 풀이
94-4-1 풀이
95-2-3 풀이
95-2-5 풀이
96-3-2 풀이
96-3-5 풀이
97-2-6 풀이
97-3-2 풀이
97-4-3 풀이
98-1-7 풀이
98-4-4 풀이
99-3-5 풀이
99-4-3 풀이
99-4-5 풀이
100-2-3 풀이
100-2-4 풀이
100-3-2 풀이
101-1-1 풀이
101-1-2 풀이
101-2-2 풀이
101-2-3 풀이
101-2-5 풀이
101-2-6 풀이
101-3-1 풀이
101-3-2 풀이
101-4-5 풀이
102-1-11 풀이
102-2-3 풀이
102-2-5 풀이
102-3-5 풀이
102-3-6 풀이
102-4-5 풀이
102-4-6 풀이
103-1-7 풀이
103-2-1 풀이
103-2-2 풀이
103-2-4 풀이
103-3-3 풀이
103-3-4 풀이
103-4-3 풀이
104-2-1 풀이
104-2-5 풀이
104-2-6 풀이
104-3-1 풀이
104-3-2 풀이
104-4-1 풀이
104-4-2 풀이
104-4-3 풀이
105-3-1 풀이
105-3-5 풀이
105-4-1 풀이
105-4-2 풀이
105-4-3 풀이
106-1-1 풀이
106-1-9 풀이
106-2-4 풀이
106-3-3 풀이
106-4-1 풀이
106-4-2 풀이
106-4-4 풀이
107-2-1 풀이
107-2-3 풀이
107-3-2 풀이
107-3-4 풀이
107-3-5 풀이
107-4-2 풀이
107-4-4 풀이
108-1-2 풀이
108-1-10 풀이
108-2-3 풀이
108-3-1 풀이
108-3-2 풀이
108-3-5 풀이
108-4-2 풀이
108-4-4 풀이
109-2-1 풀이
109-2-2 풀이
109-2-4 풀이
109-3-3 풀이
109-3-6 풀이
109-4-1 풀이
109-4-2 풀이
109-4-4 풀이
110-1-12 풀이
110-2-2 풀이
110-3-2 풀이
110-3-5 풀이
110-4-4 풀이
111-1-1 풀이
111-1-2 풀이
111-1-4 풀이
111-1-5 풀이
111-1-6 풀이
111-1-7 풀이
111-1-8 풀이
111-1-12 풀이
111-2-1 풀이
111-2-2 풀이
111-2-3 풀이
111-2-4 풀이
111-3-1 풀이
111-3-2 풀이
111-3-3 풀이
111-3-4 풀이
111-3-5 풀이
111-3-6 풀이
111-4-1 풀이
111-4-2 풀이
111-4-3 풀이
111-4-4 풀이
111-4-5 풀이
111-4-6 풀이
112-1-1 풀이
112-1-2 풀이
112-1-3 풀이
112-1-4 풀이
112-1-6 풀이
112-1-7 풀이
112-1-8 풀이
112-1-9 풀이
112-1-10 풀이
112-1-11 풀이
112-1-12 풀이
112-1-13 풀이
112-2-1 풀이
112-2-2 풀이
112-2-3 풀이
112-2-4 풀이
112-2-6 풀이
112-3-1 풀이
112-3-3 풀이
112-3-4 풀이
112-3-5 풀이
112-4-1 풀이
112-4-2 풀이
112-4-3 풀이
112-4-4 풀이
112-4-6 풀이
113-1-2 풀이
113-1-4 풀이
113-1-5 풀이
113-1-6 풀이
113-1-7 풀이
113-1-8 풀이
113-1-9 풀이
113-1-10 풀이
113-1-11 풀이
113-1-12 풀이
113-1-13 풀이
113-2-1 풀이
113-2-2 풀이
113-2-3 풀이
113-2-4 풀이
113-2-5 풀이
113-3-1 풀이
113-3-2 풀이
113-3-3 풀이
113-3-4 풀이
113-3-5 풀이
113-3-6 풀이
113-4-1 풀이
113-4-2 풀이
113-4-3 풀이
113-4-4 풀이
113-4-5 풀이
113-4-6 풀이
114-1-1 풀이
114-1-2 풀이
114-1-3 풀이
114-1-4 풀이
114-1-5 풀이
114-1-10 풀이
114-1-11 풀이
114-1-12 풀이
114-1-13 풀이
114-2-1 풀이
114-2-2 풀이
114-2-3 풀이
114-2-4 풀이
114-2-5 풀이
114-2-6 풀이
114-3-1 풀이
114-3-2 풀이
114-3-3 풀이
114-3-4 풀이
114-3-5 풀이
114-3-6 풀이
114-4-1 풀이
114-4-2 풀이
114-4-3 풀이
114-4-4 풀이
114-4-5 풀이
114-4-6 풀이
115-1-1 풀이
115-1-2 풀이
115-1-3 풀이
115-1-5 풀이
115-1-9 풀이
115-1-10 풀이
115-1-11 풀이
115-2-1 풀이
115-2-2 풀이
115-2-3 풀이
115-2-4 풀이
115-2-5 풀이
115-2-6 풀이
115-3-1 풀이
115-3-2 풀이
115-3-3 풀이
115-3-4 풀이
115-3-5 풀이
115-3-6 풀이
115-4-1 풀이
115-4-3 풀이
115-4-4 풀이
115-4-5 풀이
115-4-6 풀이
116-1-1 풀이
116-1-4 풀이
116-1-6 풀이
116-1-7 풀이
116-2-1 풀이
116-2-2 풀이
116-2-3 풀이
116-2-4 풀이
116-2-5 풀이
116-2-6 풀이
116-3-1 풀이
116-3-2 풀이
116-3-3 풀이
116-3-4 풀이
116-3-5 풀이
116-3-6 풀이
116-4-2 풀이
116-4-3 풀이
116-4-4 풀이
116-4-5 풀이
116-4-6 풀이
117-1-1 풀이
117-1-3 풀이
117-1-5 풀이
117-1-7 풀이
117-1-8 풀이
117-1-9 풀이
117-1-10 풀이
117-1-13 풀이
117-2-1 풀이
117-2-2 풀이
117-2-3 풀이
117-2-4 풀이
117-2-6 풀이
117-3-1 풀이
117-3-2 풀이
117-3-3 풀이
117-3-4 풀이
117-4-1 풀이
117-4-2 풀이
117-4-5 풀이
117-4-6 풀이
118-1-1 풀이
118-1-2 풀이
118-1-3 풀이
118-1-4 풀이
118-1-5 풀이
118-1-6 풀이
118-1-7 풀이
118-1-9 풀이
118-1-11 풀이
118-1-12 풀이
118-1-13 풀이
118-2-1 풀이
118-2-2 풀이
118-2-3 풀이
118-2-4 풀이
118-2-5 풀이
118-2-6 풀이
118-3-1 풀이
118-3-2 풀이
118-3-3 풀이
118-3-4 풀이
118-3-5 풀이
118-4-1 풀이
118-4-2 풀이
118-4-3 풀이
118-4-6 풀이
119-1-1 풀이
119-1-2 풀이
119-1-3 풀이
119-1-5 풀이
119-1-7 풀이
119-1-8 풀이
119-1-9 풀이
119-1-10 풀이
119-1-11 풀이
119-1-13 풀이
119-2-1 풀이
119-2-2 풀이
119-2-4 풀이
119-2-5 풀이
119-3-1 풀이
119-3-3 풀이
119-3-4 풀이
119-3-5 풀이
119-3-6 풀이
119-4-4 풀이
119-4-5 풀이
120-1-1 풀이
120-1-2 풀이
120-1-3 풀이
120-1-4 풀이
120-1-5 풀이
120-1-6 풀이
120-1-8 풀이
120-1-9 풀이
120-1-10 풀이
120-1-11 풀이
120-1-12 풀이
120-1-13 풀이
120-2-1 풀이
120-2-3 풀이
120-2-4 풀이
120-2-5 풀이
120-2-6 풀이
120-3-1 풀이
120-3-2 풀이
120-3-3 풀이
120-3-4 풀이
120-3-5 풀이
120-4-1 풀이
120-4-2 풀이
120-4-3 풀이
120-4-4 풀이
120-4-5 풀이
120-4-6 풀이
121-1-1 풀이
121-1-2 풀이
121-1-3 풀이
121-1-4 풀이
121-1-5 풀이
121-1-6 풀이
121-1-7 풀이
121-1-8 풀이
121-1-9 풀이
121-1-10 풀이
121-1-11 풀이
121-1-12 풀이
121-2-2 풀이
121-2-3 풀이
121-2-4 풀이
121-2-5 풀이
121-2-6 풀이
121-3-1 풀이
121-3-3 풀이
121-3-5 풀이
121-3-6 풀이
121-4-1 풀이
121-4-2 풀이
121-4-3 풀이
121-4-4 풀이
121-4-5 풀이
122-1-1 풀이
122-1-2 풀이
122-1-4 풀이
122-1-5 풀이
122-1-6 풀이
122-1-7 풀이
122-1-8 풀이
122-1-9 풀이
122-1-10 풀이
122-1-11 풀이
122-1-12 풀이
122-2-1 풀이
122-2-3 풀이
122-2-4 풀이
122-2-5 풀이
122-3-2 풀이
122-3-3 풀이
122-3-4 풀이
122-3-6 풀이
122-4-2 풀이
122-4-3 풀이
122-4-4 풀이
122-4-5 풀이
122-4-6 풀이
123-1-1 풀이
123-1-2 풀이
123-1-3 풀이
123-1-4 풀이
123-1-5 풀이
123-1-6 풀이
123-1-7 풀이
123-1-8 풀이
123-1-10 풀이
123-1-11 풀이
123-1-12 풀이
123-1-13 풀이
123-2-1 풀이
123-2-2 풀이
123-2-3 풀이
123-2-4 풀이
123-2-5 풀이
123-2-6 풀이
123-3-1 풀이
123-3-2 풀이
123-3-4 풀이
123-3-5 풀이
123-3-6 풀이
123-4-1 풀이
123-4-2 풀이
123-4-3 풀이
123-4-4 풀이
123-4-5 풀이
123-4-6 풀이
124-1-1 풀이
124-1-2 풀이
124-1-3 풀이
124-1-4 풀이
124-1-5 풀이
124-1-6 풀이
124-1-7 풀이
124-1-8 풀이
124-1-9 풀이
124-1-10 풀이
124-1-11 풀이
124-1-12 풀이
124-1-13 풀이
124-2-2 풀이
124-2-3 풀이
124-2-4 풀이
124-2-5 풀이
124-2-6 풀이
124-3-1 풀이
124-3-2 풀이
124-3-3 풀이
124-3-4 풀이
124-3-5 풀이
124-3-6 풀이
124-4-3 풀이
124-4-4 풀이
124-4-6 풀이
125-1-1 풀이
125-1-2 풀이
125-1-3 풀이
125-1-4 풀이
125-1-5 풀이
125-1-6 풀이
125-1-7 풀이
125-1-8 풀이
125-1-9 풀이
125-1-10 풀이
125-1-11 풀이
125-1-12 풀이
125-1-13 풀이
125-2-1 풀이
125-2-2 풀이
125-2-3 풀이
125-2-4 풀이
125-2-5 풀이
125-3-1 풀이
125-3-2 풀이
125-3-3 풀이
125-3-4 풀이
125-3-5 풀이
125-4-1 풀이
125-4-2 풀이
125-4-3 풀이
125-4-5 풀이
125-4-6 풀이
126-1-1 풀이
126-1-2 풀이
126-1-2 풀이 1
126-1-3 풀이
126-1-4 풀이
126-1-5 풀이
126-1-6 풀이
126-1-7 풀이
126-1-8 풀이
126-1-9 풀이
126-1-10 풀이
126-1-11 풀이
126-1-12 풀이
126-2-1 풀이
126-2-2 풀이
126-2-3 풀이
126-2-4 풀이
126-2-5 풀이
126-3-1 풀이
126-3-2 풀이
126-3-3 풀이
126-3-4 풀이
126-3-5 풀이
126-3-6 풀이
126-4-1 풀이
126-4-2 풀이
126-4-3 풀이
126-4-4 풀이
126-4-5 풀이
127-1-1 풀이
127-1-2 풀이
127-1-3 풀이
127-1-4 풀이
127-1-5 풀이
127-1-6 풀이
127-1-7 풀이
127-1-8 풀이
127-1-9 풀이
127-1-11 풀이
127-1-13 풀이
127-2-1 풀이
127-2-2 풀이
127-2-3 풀이
127-2-4 풀이
127-2-5 풀이
127-3-1 풀이
127-3-2 풀이
127-3-4 풀이
127-3-5 풀이
127-3-6 풀이
127-4-1 풀이
127-4-2 풀이
127-4-3 풀이
127-4-4 풀이
127-4-5 풀이
128-1-1 풀이
128-1-2 풀이
128-1-3 풀이
128-1-4 풀이
128-1-5 풀이
128-1-6 풀이
128-1-7 풀이
128-1-8 풀이
128-1-10 풀이
128-1-11 풀이
128-2-2 풀이
128-2-3 풀이
128-2-4 풀이
128-2-5 풀이
128-2-6 풀이
128-3-1 풀이
128-3-2 풀이
128-3-3 풀이
128-3-4 풀이
128-3-5 풀이
128-3-6 풀이
128-4-1 풀이
128-4-2 풀이
128-4-3 풀이
128-4-4 풀이
128-4-5 풀이
129-1-1 풀이
129-1-2 풀이
129-1-4 풀이
129-1-5 풀이
129-1-6 풀이
129-1-7 풀이
129-1-8 풀이
129-1-9 풀이
129-1-10 풀이
129-1-11 풀이
129-1-13 풀이
129-2-1 풀이
129-2-2 풀이
129-2-3 풀이
129-2-4 풀이
129-2-5 풀이
129-2-6 풀이
129-3-1 풀이
129-3-2 풀이
129-3-3 풀이
129-3-4 풀이
129-3-5 풀이
129-3-6 풀이
129-4-1 풀이
129-4-2 풀이
129-4-3 풀이
129-4-4 풀이
129-4-5 풀이
129-4-6 풀이
130-1-1 풀이
130-1-2 풀이
130-1-3 풀이
130-1-4 풀이
130-1-5 풀이
130-1-6 풀이
130-1-7 풀이
130-1-8 풀이
130-1-9 풀이
130-1-12 풀이
130-1-13 풀이
130-2-1 풀이
130-2-2 풀이
130-2-3 풀이
130-2-4 풀이
130-2-5 풀이
130-3-2 풀이
130-3-6 풀이
130-4-1 풀이
130-4-5 풀이
130-4-6 풀이
131-1-1 풀이
131-1-2 풀이
131-1-3 풀이
131-1-4 풀이
131-1-5 풀이
131-1-6 풀이
131-1-8 풀이
131-1-9 풀이
131-1-10 풀이
131-1-13 풀이
131-2-1 풀이
131-2-2 풀이
131-2-3 풀이
131-2-5 풀이
131-2-6 풀이
131-3-1 풀이
131-3-2 풀이
131-3-4 풀이
131-3-6 풀이
131-4-1 풀이
131-4-2 풀이
131-4-4 풀이
131-4-6 풀이
132-1-5 풀이
132-1-12 풀이
132-2-2 풀이
132-2-3 풀이
132-2-5 풀이
132-3-2 풀이
132-3-5 풀이
132-3-6 풀이
132-4-3 풀이
132-4-6 풀이
133-1-11 풀이
1401 풀이
1402 풀이
4101 풀이
4102 풀이
4103 풀이
4201 풀이
4202 풀이
4203 풀이
4204 풀이
4205 풀이
4206 풀이
4207 풀이
4208 풀이
4209 풀이
4210 풀이
4211 풀이
4212 풀이
4213 풀이
4214 풀이
4215 풀이
4216 풀이
4217 풀이
4218 풀이
4219 풀이
4220 풀이
4221 풀이
4222 풀이
4301 풀이
4302 풀이
4303 풀이
4304 풀이
4401 풀이
4402 풀이
4404 풀이
4405 풀이
4406 풀이
4407 풀이
4501 풀이
4502 풀이
4601 풀이
4602 풀이
4603 풀이
4604 풀이
4605 풀이
4606 풀이
4607 풀이
4608 풀이
4609 풀이
4610 풀이
4701 풀이
4801 풀이
4802 풀이
4803 풀이
4804 풀이
4805 풀이
4806 풀이
4807 풀이
4808 풀이
4809 풀이
4810 풀이
4811 풀이
4812 풀이
4813 풀이
4814 풀이
4815 풀이
4816 풀이
4817 풀이
4818 풀이
4819 풀이
4820 풀이
4821 풀이
4822 풀이
4823 풀이
4824 풀이
5001 풀이
5002 풀이
5003 풀이
5004 풀이
5005 풀이
5006 풀이
5007 풀이
5008 풀이
5009 풀이
5010 풀이
5011 풀이
5012 풀이
5013 풀이
5014 풀이
5015 풀이
5016 풀이
5017 풀이
5018 풀이
5019 풀이
5020 풀이
5021 풀이
5022 풀이
5023 풀이
5024 풀이
5025 풀이
5026 풀이
5027 풀이
5028 풀이
5029 풀이
5030 풀이
5031 풀이
5032 풀이
5033 풀이
5034 풀이
5035 풀이
5036 풀이
5037 풀이
5038 풀이
5039 풀이
5040 풀이
5041 풀이
5042 풀이
10101 풀이
10102 풀이
10103 풀이
10105 풀이
10106 풀이
10107 풀이
10110 풀이
10111 풀이
10112 풀이
10114 풀이
10116 풀이
10208 풀이
10209 풀이
10211 풀이
10212 풀이
10301 풀이
10308 풀이
10310 풀이
10314 풀이
10315 풀이
10316 풀이
10317 풀이
10319 풀이
10321 풀이
10322 풀이
10330 풀이
10401 풀이
10402 풀이
10406 풀이
10410 풀이
10411 풀이
10412 풀이
10417 풀이
10504 풀이
10505 풀이
10509 풀이
10510 풀이
10512 풀이
10513 풀이
10514 풀이
10515 풀이
10603 풀이
10701 풀이
10702 풀이
10704 풀이
10707 풀이
10708 풀이
10709 풀이
10711 풀이
10712 풀이
10801 플이
10813 풀이
10816 풀이
10901 풀이
10907 풀이
10908 풀이
10909 풀이
10910 풀이
10911 풀이
11002 풀이
11003 풀이
11202 풀이
11203 풀이
11401 풀이
11402 풀이
11403 풀이
11502 풀이
11503 풀이
11509 풀이
11510 풀이
11511 풀이
11512 풀이
11513 풀이
11516 풀이
11517 풀이
11602 풀이
11606 풀이
11607 풀이
11611 풀이
11612 풀이
11614 풀이
11615 풀이
11616 풀이
11701 풀이
11702 풀이
11703 풀이
11705 풀이
11707 풀이
11708 풀이
11709 풀이
11711 풀이
11712 풀이
11713 풀이
11714 풀이
11715 풀이
11716 풀이
11802 풀이
11804 풀이
11805 풀이
11806 풀이
11809 풀이
11810 풀이
11811 풀이
11813 풀이
(31) 회차별 기출문제
111회 기출문제
112회 기출문제
113회 기출문제
114회 기출문제
115회 기출문제
116회 기출문제
117회 기출문제
118회 기출문제
119회 기출문제
120회 기출문제
121회 기출문제
122회 기출문제
123회 기출문제
124회 기출문제
125회 기출문제
126회 기출문제
127회 기출문제
128회 기출문제
129회 기출문제
130회 기출문제
131회 기출문제
132회 기출문제
133회 기출문제
134회 기출문제
(32) 134회 대비
2404 강구조 개정사항
역학문제모음 134회 시험대비
철골문제모음 134회 시험대비
철콘문제모음 134회 시험대비
(37) 기술사준비
0. 계산형 문제모음 (반복도)
0. 서술형 문제모음 (category1)
(41) 참고자료
공사차량 하중
동해석이란
비균열벽체와 균열벽체의 구분
설계법 비교
케이싱과 오거의 차이
(51) 면접준비
12m × 8m 경간의 철골조 물류창고 구조계획 8kN
240926 면접대비
240927 면접대비
240928 면접노트
240930 면전연습
241001 면접연습
241002 면접연습
241004 면접노트
241005 면접연습
EJ를 두는 이유
H형강 트러스 단면
joint 이음,줄눈 종류
L자형 평면의 구조적문제
PM상관도 설명
RC 평면 계획
Scale Factor 산정 및 고유주기 산정
SD와 SS의 차이
SS275 용접 허용여부
가장 높은 설계경험
감리와 CM에 관련된 법령 6가지
강구조 설계 시 변위기준
강도와 강성의 차이
건축구조(관계전문기술자)와 협력 해야될 8가지 분야
건축도면 작성관련 개정안
건축물 안전영향평가
겹침배근 시 구조도면 기재사항
경간연속보의 처짐형상
고급강의 항복강도 상한치를 규정하는 이유
고유치해석을 하는 이유
관계전문기술자와의 협력이 필요한 건축물
교육지원청사 중요도 분류
구조기술사의 업무범위
구조도면과 구조계산서가 다를 경우 우선순위
구조물 철거공사시 구조안전계획 및 구조보강방안
구조물에 가해지는 하중은
구조설계 대가기준 마련에 대한 의견
구조설계시 적용하는 기준
구조안전점검 시 확인 사항
구조안전진단에 대해서
극한강도설계와 한계상태설계법
기계식주차타워 해석방법 및 벽체두께 제한사항
기둥의 편심을 고려하는 이유와 방법
기둥축소현상
기술사 소양 및 윤리의식
기술사법
기초 단부의 배근방법
기초레벨 정하는 방법
기초에 인발 발생시 조치사항
기초의 주배근도 도시
길이가 10m 이상인 지하외벽 설계
내력벽시스템과 전단벽골조 상호 시스템
내세울 만한 프로젝트나 경험
내진갈고리 미시공시 조치사항
내진보강 시 제진장치의 사용
내진보강 전략 및 공법
내진설계 의무대상
내진설계의 의미
내진설범주 D에서의 설계시 고려사항
내진성능기반설계 시 목표성능 만족방법
내진성능평가 절차에 대한 설명
내진성능평가 주체, 대상 및 절차
내진성능평가에서 선형 및 비선형 해석시 실무 고려사항
내진성능평가의 문제점
내진용철근의 사용
높은 건물과 낮고 넓은 건물 설계 시 주의점
니브레이스
단순보 접합의 회전능력
단층건물의 평면제시 후 밑면전단력 산정
달랑베르 정리
대공간 EJ 계획
돔구장의 지붕형식
뒤틀림 보 처리
라멘조의 BMD 작성
면접 자료
모델링시 벽체 균열강성 고려관련
모드합성방법 3가지와 적용조건
모드해석에서 1차모드와 모드형상의 개념 설명
목조주택 설계
무제 파일
밑면전단력 산정
발전소 탈활설비에서 횡변위 발생시 처리방안
베이스 플레이트 상세
벨트트러스의 역할
벽체 철근비 1%이상일 때 기준상 조치사항
변단면 기둥이음
변위검토 시 균열단면의 적용
병렬전단벽에 대해
보의 균형철근비
본인만의 구조검토 노하우
볼트접합에서 정열배치와 엇모배치의 장단점 비교
부등침하에 대해
부력방지대책
부재의 처짐을 검토하지 않아도 되는 최소두께 규정
붕괴 사건
붕괴사고 방지를 위한 제도적인 개선
블록전단파단을 방지하기 위한 방법
비구조요소 내진설계 경험
비구조요소 내진설계안내서_bmtas
비렌딜트러스 정의와 장단점
비선형 동적해석
비선형 정적해석
삼풍백화점 붕괴사고
상재하중과 토압계수
설비에 의한 전이보 간섭
성능검증을 위한 허용기준에 대한 설명
성능설계에 대하여
슬래브 및 기초의 전단보강철근 상세
실무하면서 사용한 구조재료
아웃리거의 설계
아파트 거실슬래브 균열발생원인 및 철근배근도
아파트 날개벽 설계시 고려사항
아파트 설계 시 주의사항
아파트 설계경험
아파트 주동과 지하주차장 접합부 설계 및 문제
안전점검 및 정밀안전진단의 종류
안전진단 시 조사항목
안전진단에 대한 경험
앞으로의 계획
앵커지지 치장벽돌의 사양설계
오피스텔 적용하중
옥상조경이 설치될 경우의 문제
옵셋굽힘철근
옹벽의 shear key 설계
완.127회 건축구조기술사 필기 및 실기 합격후기_
완.127회 건축구조기술사 필기 및 실기 합격후기_Nevertheless
완.127회 면접_초보기술자
완.127회_양가31
완.130회 필기 및 면접 합격수기_엠에스군
완.130회 필기면접 합격수기_율이파파
완.131회 건축 필기 및 면접 합격후기_내도파파
완.건축 131회 면접질문 공유합니다._change108fan
완.건축구조기술사 127회 최종(면접) 합격수기_늘보아빠
완.건축구조기술사 127회 최종합격 후기 (126회 필기 합격)_상수초핵주먹
외벽과 면한 기초의 배근
운동방정식 설명
윙플레이트에 대해
응답스펙트럼 개념
이력카드 작성
일반업무시설의 경우 철골조 보 및 기둥계획
일방향 슬래브 설계 시 주요점
자기소개
잡석지정과 버림콘크리트
장경간 공설 설계
장경간 트러스
잭서포트의 안전율
전단력과 모멘트의 관계 유도
전이구조 설계방법 및 공법
전이보 해석시 응력분포 및 해석방법과 설게방법
전이부재 설계
정밀점검 시 현장에서 느낀 어려운 점
정착길이 미확보시 조치사항
주경력사항
주상복합 내진설계
중앙벽체코어가 있고 외부에 기둥이 있는 20층 사무실 건물에서 가능한 구조시스템
지내력기초와 파일기초를 구분하여 적용하는 방법
지압접합과 마찰접합 비교
지중보 공법에 대해서 설명
지진력을 받는 말뚝기초 설계 시 요구조건
지진하중 적용방법
지진하중에 대한 구조계획 시 고려해야 할 부분
지하구조 토압 계산방법
지하구조물 내진설계 대상 및 방법
지하수위 상승 시 현장에서 응급조치
지하층설계 시 수압문제 해결방안
지하터파기 공사 프로세스 및 문제점
직경이 다른 철근의 정착 시 정착길이
직접설계법 적용요건
진동구조물 설계 주안점
진동기초 설계 시 주안점
철거 및 해체공사 절차
철골 기둥 배치시 구조적으로 유리한 방향
철골 덕트 계획
철골 연성모멘트 골조
철골 용어
철골 용접부 검사
철골 평면계획 및 부재사이즈
철골구조에서 횡지지 거리르 제한하는 이유
철골구조에서 횡지지 거리를 제한하는 이유
철골의 좌굴
철근 shop 드로잉
철근의 이음
철근의 종류
철근의 파괴양상
철근콘크리트구조와 조적식구조해석의 차이점
최대철근비 제한방법
춤이큰전이보 타설시 설계고려방법
층간변위 제한 이유
층간변위비 검토 이유
층별로 모멘트 양상이 다른이유
칼럼쇼트닝 대처방법
커플러 사용시 나사산에 대한 의견
커플러 이음 시 이음방법 및 자료강도
콘크리트 강도 및 파일지지력 미달시 조치사항
콘크리트 극한변형률
콘크리트 앵커기준
콘크리트 코어채취 시 강도측정법
콘크리트의 균열폭 제어방법
크레인 관련
크리프 및 영향인자
탄성침하와 장기침하의 차이
탄소섬유보강 시 강도증가하는지
탑다운 공법 순서
트러스 구조에 대해
트러스 구조의 접합상세
특별지진하중을 적용하는 이유
특수모멘트전단벽 설계시 유의사항
특수전단벽 경계부 배근상세
특수전단벽에 대해
파일기초요구사항 및 접합부
파일의 부마찰력
패턴로드에 대해
편심가새골조에 대해
평면응력에 대한 모아원 작성
풍동실험의 종류, 실험결과를 적용하는 방법
풍하중 산정식 기술
풍하중과 지진하중이 구조물에 미치는 차이
프리스트레스 손실원인
플랫슬래브 및 설계
플랫플레이트 구조형식
피어리뷰 답변시 중점사항
필로티 건축물 감리시 유의사항
필로티 기둥의 띠철근 상세와 관리
필로티구조 설계 및 구조감리 주안점
학교내진성능평가 방법
한계상태법에 따른 철골부재의 설계
한국목구조와 유럽목구조의 차이
합성보 전단연결재
해석은 탄성으로 하지만 설계는 비탄성을 반영하는 이유
화재 발생 시 부재 평가요령
횡좌굴 원인과 보강에 대해
후설치 앵커 사용시 유의점
흙막이 공법에 대해 설명
(98) 템플릿
면접노트 템플릿
(99) 첨부파일 🗑️
cropped_스크린샷_2022-02-28_오후_7.08.35
0. 면접 대비
BMTARS의 블로그
건설기술 쌍용
건축구조계획
구조설계 시 의문점
깊은보
내진설계에서 링크빔의 배근은 이미 결정되어 있다.
면접 이력카드 작성
옥내소화전함 내진설게 보고서_검열
자료정리
전이보의 응력분포 및 해석방법
참고자료 모음
철근콘크리트 구조설계_하이구조
Home
❯
(22) 풀이모음
❯
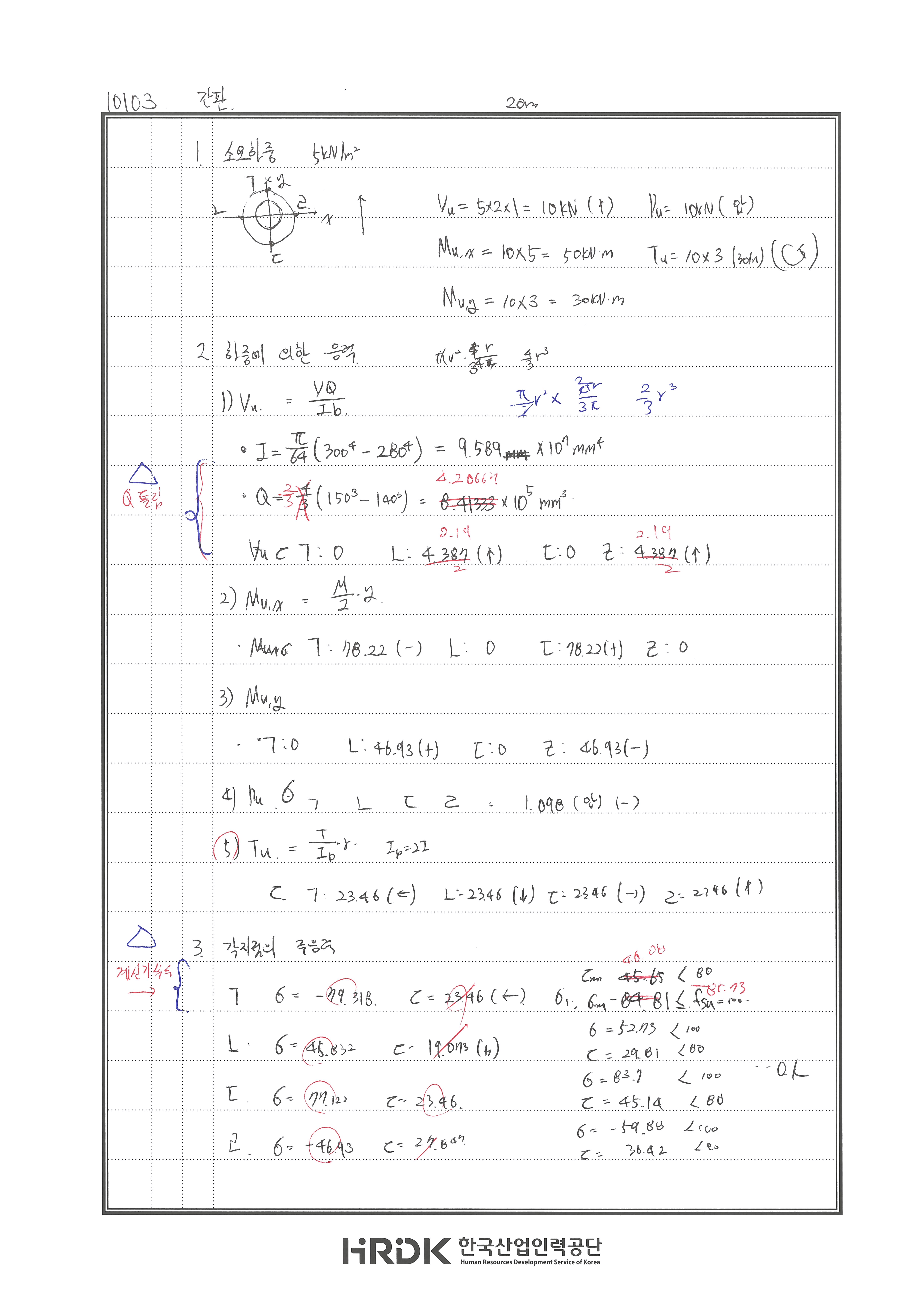
10103 풀이
10103 풀이
Oct 14, 2024
1 min read
풀이
토목 94-2-5 지주형 문제 끝판왕
240719 △ 240702 X
Graph View
Backlinks
No backlinks found