풀이
경량콘크리트 문제가 많이 나오지 않는데
240717 X
- 하중에서 경량콘크리트 하중을 보통으로 입력함
- 처짐이 부족한 경우 보강안 적을 때 휨강도 검토를 간단하게 해서 처짐이 부족할 때 : 단면증가, 압축철근 증가, 캠퍼 휨이 부족할 때 : 단면증가 , 인장철근 증가 중에서 둘다 부족하니까 단면증가 조치 필요라고 적기
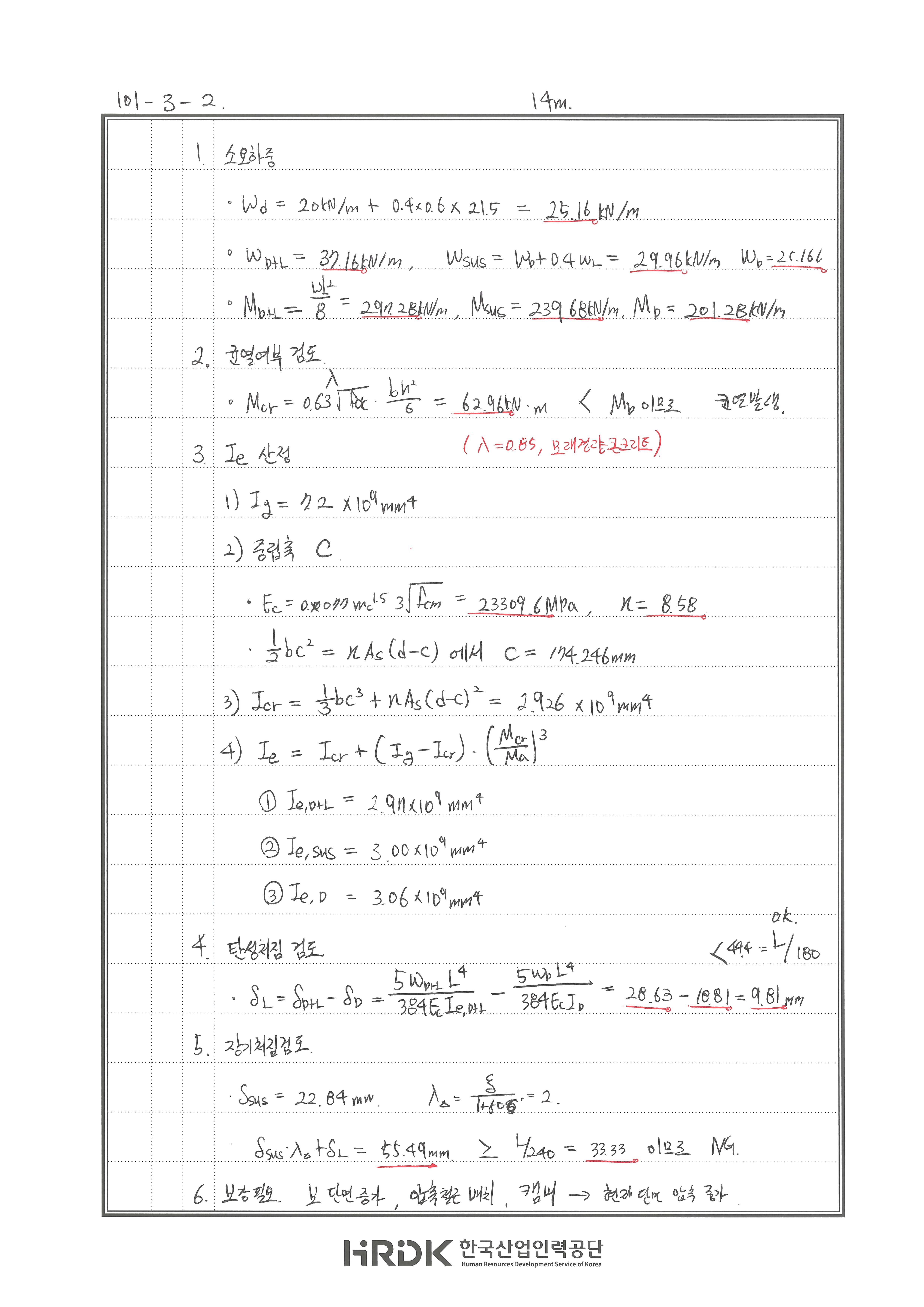
240707 O 240605 X 탄성계수산정에서 실수, 장기처짐검토에서 탄성처짐 누락
-첨부파일-🗑️/Untitled_20240718_125737_55.jpg)
-첨부파일-🗑️/Untitled_20240707_220957_28.jpg)
-첨부파일-🗑️/2024.-6.-5.---16.jpg)
-첨부파일-🗑️/2-4-1.jpg)
-첨부파일-🗑️/2-4-2.jpg)
Oct 14, 20241 min read
경량콘크리트 문제가 많이 나오지 않는데
240717 X
240707 O 240605 X 탄성계수산정에서 실수, 장기처짐검토에서 탄성처짐 누락
-첨부파일-🗑️/Untitled_20240718_125737_55.jpg)
-첨부파일-🗑️/Untitled_20240707_220957_28.jpg)
-첨부파일-🗑️/2024.-6.-5.---16.jpg)
-첨부파일-🗑️/2-4-1.jpg)
-첨부파일-🗑️/2-4-2.jpg)