관련문제
table without id
file.link as "문제번호",
설명,
tags,
중요,
반복도,
풀이
from "(21) 문제모음"
Where
contains(관련노트,[[R1. 휨균열철근 산정]])
sort 반복도 desc
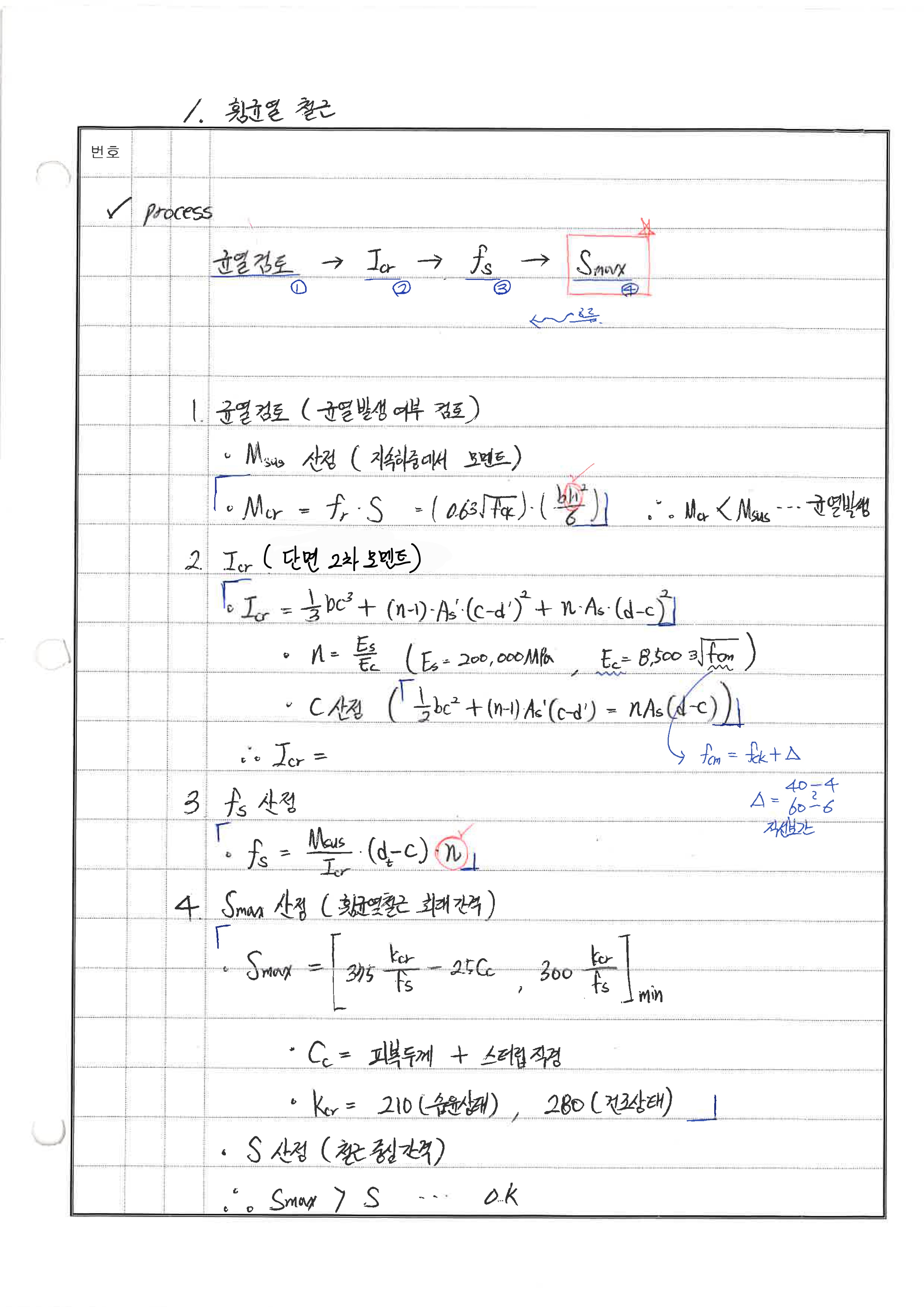
START 서브노트 문제:
R1. 휨균열 철근 산정
사용상태에서 콘크리트 및 철근의 응력 산정
정답:
-첨부파일-🗑️/01-휨균열철근.jpg)
END
관련문제
table without id
file.link as "문제번호",
설명,
tags,
중요,
반복도,
풀이
from "(11) 문제모음"
Where
contains(관련노트,[[R1. 휨균열철근 산정]])
sort 반복도 desc