START 서브노트 문제:

B64. 다자유도 비감쇠 자유진동

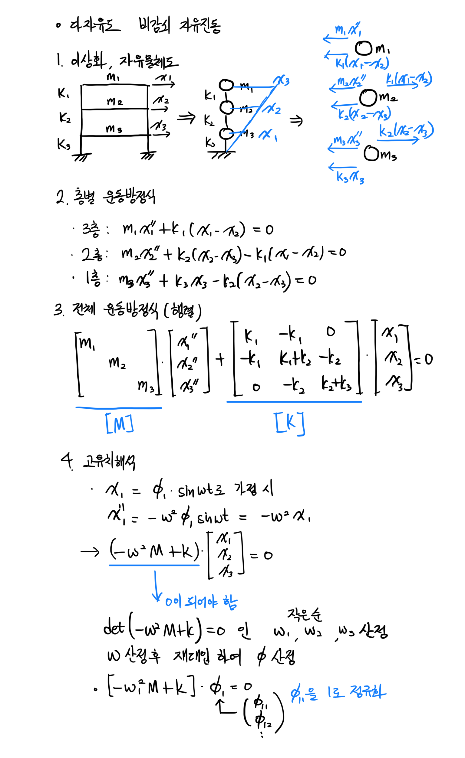
정답:

구조물의 고유치해석 보통 2 × 2 행렬

  • 요구하는 것 : 변형형상, 고유진동수, 운동방정식

END

관련문제

 
table without id
	file.link as "문제번호",
	설명,
	tags,
	중요,
	반복도,
	풀이
from "(11) 문제모음"
 
Where
	contains(관련노트,[[B64. 다자유도 비감쇠 자유진동]])
sort 중요 desc